- CITY GUIDE
- PODCAST
-
17°
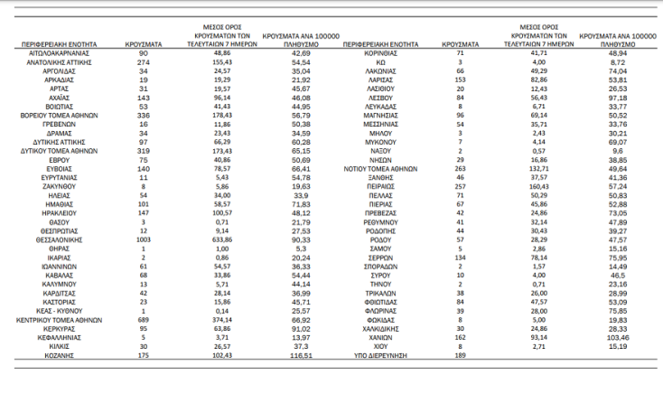
Η κατανομή για τα νέα κρούσματα κορωνοϊού σήμερα, Τρίτη 21 Δεκεμβρίου 2021, σύμφωνα με την ανακοίνωση του ΕΟΔΥ.
Την κατανομή για τα νέα κρούσματα κορωνοϊού σήμερα, Τρίτη 21 Δεκεμβρίου 2021, δημοσιεύει ο ΕΟΔΥ.
Σύμφωνα με την ημερήσια έκθεση επιδημιολογικής επιτήρησης του ΕΟΔΥ, το τελευταίο 24ωρο επιβεβαιώθηκαν 6.424 κρούσματα κορωνοϊού στην Ελλάδα και 77 νέοι θάνατοι ασθενών από επιπλοκές της Covid-19.
Οι διασωληνωμένοι στις ΜΕΘ είναι 661.
Γεωγραφική κατανομή για τα νέα κρούσματα κορωνοϊού
- 274 κρούσματα στην ΠΕ Ανατολικής Αττικής
- 336 κρούσματα στην ΠΕ Βόρειου Τομέα Αθηνών
- 97 κρούσματα στην ΠΕ Δυτικής Αττικής
- 319 κρούσματα στην ΠΕ Δυτικού Τομέα Αθηνών
- 689 κρούσματα στην ΠΕ Κεντρικού Τομέα Αθηνών
- 263 κρούσματα στην ΠΕ Νοτίου Τομέα Αθηνών
- 257 κρούσματα στην Π.Ε. Πειραιώς
- 29 κρούσματα στην Π.Ε. Νήσων
- 1003 κρούσματα στην Π.Ε. Θεσσαλονίκης
- 90 κρούσματα στην Π.Ε. Αιτωλοακαρνανίας
- 34 κρούσματα στην Π.Ε. Αργολίδας
- 19 κρούσματα στην Π.Ε. Αρκαδίας
- 31 κρούσματα στην Π.Ε. Αρτας
- 143 κρούσματα στην Π.Ε. Αχαΐας
- 53 κρούσματα στην Π.Ε. Βοιωτίας
- 16 κρούσματα στην Π.Ε. Γρεβενών
- 34 κρούσματα στην Π.Ε. Δράμας
- 75 κρούσματα στην Π.Ε. Εβρου
- 140 κρούσματα στην Π.Ε. Εύβοιας
- 11 κρούσματα στην Π.Ε. Ευρυτανίας
- 8 κρούσματα στην Π.Ε. Ζακύνθου
- 54 κρούσματα στην Π.Ε. Ηλείας
- 101 κρούσματα στην Π.Ε Ημαθίας
- 147 κρούσματα στην ΠΕ Ηρακλείου
- 3 κρούσματα στην Π.Ε. Θάσου
- 12 κρούσματα στην Π.Ε. Θεσπρωτίας
- 1 κρούσμα στην Π.Ε. Θήρας
- 2 κρούσματα στην Π.Ε. Ικαρίας
- 61 κρούσματα στην Π.Ε. Ιωαννίνων
- 68 κρούσματα στην Π.Ε. Καβάλας
- 13 κρούσματα στην Π.Ε Καλύμνου
- 42 κρούσματα στην Π.Ε. Καρδίτσας
- 23 κρούσματα στην Π.Ε. Καστοριάς
- 1 κρούσμα στην Π.Ε. Κέας-Κύθνου
- 95 κρούσματα στην Π.Ε. Κέρκυρας
- 5 κρούσματα στην Π.Ε. Κεφαλληνίας
- 30 κρούσματα στην Π.Ε. Κιλκίς
- 175 κρούσματα στην Π.Ε Κοζάνης
- 71 κρούσματα στην Π.Ε. Κορινθίας
- 3 κρούσματα στην Π.Ε. Κω
- 66 κρούσματα στην Π.Ε. Λακωνίας
- 153 κρούσματα στην Π.Ε Λάρισας
- 20 κρούσματα στην Π.Ε. Λασιθίου
- 84 κρούσματα στην Π.Ε. Λέσβου
- 8 κρούσματα στην Π.Ε. Λευκάδας
- 96 κρούσματα στην Π.Ε. Μαγνησίας
- 54 κρούσματα στην Π.Ε. Μεσσηνίας
- 3 κρούσματα στην Π.Ε. Μήλου
- 7 κρούσματα στην Π.Ε. Μυκόνου
- 2 κρούσματα στην Π.Ε. Νάξου
- 46 κρούσματα στην Π.Ε. Ξάνθης
- 71 κρούσματα στην Π.Ε. Πέλλας
- 67 κρούσματα στην Π.Ε. Πιερίας
- 42 κρούσματα στην Π.Ε. Πρέβεζας
- 41 κρούσματα στην Π.Ε. Ρεθύμνου
- 44 κρούσματα στην Π.Ε. Ροδόπης
- 57 κρούσματα στην ΠΕ Ρόδου
- 5 κρούσματα στην Π.Ε. Σάμου
- 134 κρούσματα στην Π.Ε. Σερρών
- 2 κρούσματα στην Π.Ε. Σποράδων
- 10 κρούσματα στην Π.Ε. Σύρου
- 2 κρούσματα στην Π.Ε. Τήνου
- 38 κρούσματα στην Π.Ε. Τρικάλων
- 84 κρούσματα στην Π.Ε. Φθιώτιδας
- 39 κρούσματα στην Π.Ε. Φλώρινας
- 8 κρούσματα στην Π.Ε. Φωκίδας
- 30 κρούσματα στην Π.Ε. Χαλκιδικής
- 162 κρούσματα στην Π.Ε. Χανίων
- 8 κρούσματα στην Π.Ε Χίου
- 189 κρούσματα είναι υπό διερεύνηση
Στο «κόκκινο» παραμένει η Αττική καθώς από τα 6.424 νέα κρούσματα που ανακοίνωσε σήμερα ο ΕΟΔΥ οι 2.264 μολύνσεις εντοπίζονται στο Λεκανοπέδιο.
Τα νέα κρούσματα κορωνοϊού στην Αττική
- Ανατολική Αττική: 274 κρούσματα
- Βόρειος Τομέας Αθηνών: 336 κρούσματα
- Δυτική Αττική: 97 κρούσματα
- Δυτικός Τομέας Αθηνών: 319 κρούσματα
- Κεντρικός Τομέα Αθηνών: 689 κρούσματα
- Νήσων: 29 κρούσματα
- Νότιος Τομέας Αθηνών: 263 κρούσματα
- Πειραιώς: 257 κρούσματα
Στα 1.003 υπολογίζονται τα νέα κρούσματα στην Θεσσαλονίκη.
Ακολουθήστε την Athens Voice στο Google News κι ενημερωθείτε πρώτοι για όλες τις ειδήσεις
ΤΑ ΠΙΟ ΔΗΜΟΦΙΛΗ
ΔΙΑΒΑΖΟΝΤΑΙ ΠΑΝΤΑ
ΔΕΙΤΕ ΕΠΙΣΗΣ
Ήταν κυβερνητικός εκπρόσωπος επί Ανδρέα Παπανδρέου
Πότε θα χτυπήσει ξανά το κουδούνι για την επιστροφή;
Μεγάλη πυρκαγιά ξέσπασε το μεσημέρι του Σαββάτου
Ισχυρές επίγειες δυνάμεις και πεζοπόρα τμήματα της ΕΜΟΔΕ δίνουν μάχη με τις φλόγες
Η Maran Tankers επιβεβαιώνει το πλήγμα στο ελληνικό τάνκερ - Το πλήρωμα είναι ασφαλές
Ξεκινούν εργασίες για 5G και αλλαγή σιδηροτροχιών - Πώς θα εξυπηρετούνται οι επιβάτες
Έντονη διαμαρτυρία από τον Βασίλη Κικίλια για τη στοχοποίηση της ελληνικής ναυτιλίας
Η δεισιδαιμονία γύρω από τη συγκεκριμένη ημερομηνία είναι σχετικά πρόσφατη στη δυτική κουλτούρα
Δρομολόγια μέχρι το ΣΕΦ ή την Αγία Τριάδα Πειραιά σε συγκεκριμένες ώρες λόγω κατεδαφίσεων και αγώνα δρόμου
Η άνοδος των καυσίμων λόγω γεωπολιτικών εξελίξεων πιέζει τα εισιτήρια, με όλα τα σενάρια ανοικτά
Το ιστορικό του έργου και οι δύο βλάβες του αγωγού - Το νησί συνεχίζει να αντιμετωπίζει προβλήματα με το πόσιμο νερό
Πιλοτική εφαρμογή στον αυτοκινητόδρομο Πάτρα – Πύργος με ηλεκτρονικό πομποδέκτη και χιλιομετρική χρέωση
Ο μετεωρολόγος επισημαίνει πάντως ότι προς το παρόν δεν διαφαίνεται κάποιο ακραίο καιρικό φαινόμενο
Η εισαγωγή θα γίνει μέσω γραπτής δοκιμασίας γνώσεων και δεξιοτήτων
Μεταφέρθηκε στο Νοσοκομείο αλλά υπέκυψε στα τραύματά του
Τι αναφέρουν οι πρώτες πληροφορίες
Έχετε δει 20 από 200 άρθρα.