- CITY GUIDE
- PODCAST
-
11°
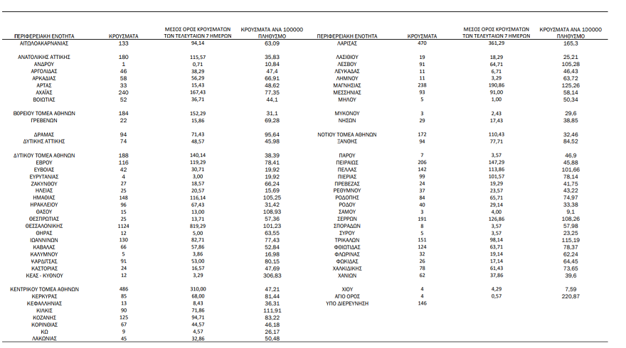
Η κατανομή για τα 6.909 νέα κρούσματα κορωνοϊού σήμερα, Παρασκευή 5 Νοεμβρίου 2021, σύμφωνα με την ανακοίνωση του ΕΟΔΥ.
Την κατανομή για τα νέα κρούσματα κορωνοϊού σήμερα, Παρασκευή 5 Νοεμβρίου 2021, δημοσιεύει ο ΕΟΔΥ.
Σύμφωνα με την ημερήσια έκθεση επιδημιολογικής επιτήρησης του ΕΟΔΥ, το τελευταίο 24ωρο επιβεβαιώθηκαν 6.909 κρούσματα κορωνοϊού στην Ελλάδα και 48 νέοι θάνατοι ασθενών από επιπλοκές της Covid-19.
Οι διασωληνωμένοι στις ΜΕΘ είναι 450.
Γεωγραφική κατανομή για τα 6.909 κρούσματα σήμερα
- 180 κρούσματα στην ΠΕ Ανατολικής Αττικής
- 184 κρούσματα στην ΠΕ Βόρειου Τομέα Αθηνών
- 74 κρούσματα στην ΠΕ Δυτικής Αττικής
- 188 κρούσματα στην ΠΕ Δυτικού Τομέα Αθηνών
- 486 κρούσματα στην ΠΕ Κεντρικού Τομέα Αθηνών
- 172 κρούσματα στην ΠΕ Νοτίου Τομέα Αθηνών
- 206 κρούσματα στην Π.Ε. Πειραιώς
- 29 κρούσματα στην Π.Ε. Νήσων
- 1.124 κρούσματα στην Π.Ε. Θεσσαλονίκης
- 133 κρούσματα στην Π.Ε. Αιτωλοακαρνανίας
- 1 κρούσμα στην Π.Ε. Άνδρου
- 46 κρούσματα στην Π.Ε. Αργολίδας
- 58 κρούσματα στην Π.Ε. Αρκαδίας
- 33 κρούσματα στην Π.Ε. Άρτας
- 240 κρούσματα στην Π.Ε. Αχαΐας
- 52 κρούσματα στην Π.Ε. Βοιωτίας
- 22 κρούσματα στην Π.Ε. Γρεβενών
- 94 κρούσματα στην Π.Ε. Δράμας
- 116 κρούσματα στην Π.Ε. Έβρου
- 42 κρούσματα στην Π.Ε. Εύβοιας
- 4 κρούσματα στην Π.Ε. Ευρυτανίας
- 27 κρούσματα στην Π.Ε. Ζακύνθου
- 25 κρούσματα στην Π.Ε. Ηλείας
- 148 κρούσματα στην Π.Ε Ημαθίας
- 96 κρούσματα στην ΠΕ Ηρακλείου
- 15 κρούσματα στην Π.Ε. Θάσου
- 25 κρούσματα στην Π.Ε. Θεσπρωτίας
- 12 κρούσματα στην Π.Ε. Θήρας
- 130 κρούσματα στην Π.Ε. Ιωαννίνων
- 66 κρούσματα στην Π.Ε. Καβάλας
- 5 κρούσματα στην Π.Ε. Καλύμνου
- 91 κρούσματα στην Π.Ε. Καρδίτσας
- 24 κρούσματα στην Π.Ε. Καστοριάς
- 12 κρούσματα στην Π.Ε. Κέας-Κύθνου
- 85 κρούσματα στην Π.Ε. Κέρκυρας
- 13 κρούσματα στην Π.Ε. Κεφαλληνίας
- 90 κρούσματα στην Π.Ε. Κιλκίς
- 125 κρούσματα στην Π.Ε Κοζάνης
- 67 κρούσματα στην Π.Ε. Κορινθίας
- 9 κρούσματα στην Π.Ε. Κω
- 45 κρούσματα στην Π.Ε. Λακωνίας
- 470 κρούσματα στην Π.Ε Λάρισας
- 19 κρούσματα στην Π.Ε. Λασιθίου
- 91 κρούσματα στην Π.Ε. Λέσβου
- 11 κρούσματα στην Π.Ε. Λευκάδας
- 11 κρούσματα στην Π.Ε. Λήμνου
- 238 κρούσματα στην Π.Ε. Μαγνησίας
- 93 κρούσματα στην Π.Ε. Μεσσηνίας
- 5 κρούσματα στην Π.Ε. Μήλου
- 3 κρούσματα στην Π.Ε. Μυκόνου
- 94 κρούσματα στην Π.Ε. Ξάνθης
- 7 κρούσματα στην Π.Ε. Πάρου
- 142 κρούσματα στην Π.Ε. Πέλλας
- 99 κρούσματα στην Π.Ε. Πιερίας
- 24 κρούσματα στην Π.Ε. Πρέβεζας
- 37 κρούσματα στην Π.Ε. Ρεθύμνου
- 84 κρούσματα στην Π.Ε. Ροδόπης
- 40 κρούσματα στην ΠΕ Ρόδου
- 3 κρούσματα στην Π.Ε. Σάμου
- 191 κρούσματα στην Π.Ε. Σερρών
- 8 κρούσματα στην Π.Ε. Σποράδων
- 5 κρούσματα στην Π.Ε. Σύρου
- 151 κρούσματα στην Π.Ε. Τρικάλων
- 124 κρούσματα στην Π.Ε. Φθιώτιδας
- 32 κρούσματα στην Π.Ε. Φλώρινας
- 26 κρούσματα στην Π.Ε. Φωκίδας
- 78 κρούσματα στην Π.Ε. Χαλκιδικής
- 62 κρούσματα στην Π.Ε. Χανίων
- 4 κρούσματα στην Π.Ε. Χίου
- 4 κρούσματα στο 'Αγιο Όρος
- 146 κρούσματα υπό διερεύνηση
1.519 νέα κρούσματα στην Αττική
Πρώτη παραμένει η Αττική καθώς από τα 6.909 νέα κρούσματα που ανακοίνωσε σήμερα ο ΕΟΔΥ οι 1.519 μολύνσεις εντοπίζονται στο Λεκανοπέδιο.
- Ανατολική Αττική 166
- Βόρειος Τομέας Αθήνας 236
- Δυτική Αττική 72
- Δυτικός Τομέας Αθήνας 193
- Κεντρικός Τομέας Αθήνας 416
- Νήσων 25
- Νότιος Τομέας Αθήνας 147
- Πειραιάς 220
Την ίδια ώρα 1.124 νέα κρούσματα καταγράφηκαν στη Θεσσαλονίκη. Στο κόκκινο παραμένει η Λάρισα με 470, η Μαγνησία με 238 και η Αχαΐα με 240.
Ακολουθήστε την Athens Voice στο Google News κι ενημερωθείτε πρώτοι για όλες τις ειδήσεις
ΤΑ ΠΙΟ ΔΗΜΟΦΙΛΗ
ΔΙΑΒΑΖΟΝΤΑΙ ΠΑΝΤΑ
ΔΕΙΤΕ ΕΠΙΣΗΣ
Eναλλάξ διακοπές κυκλοφορίας σε δεξιά ή αριστερή λωρίδα
Οι βροχές των τελευταίων ημερών αύξησαν σημαντικά τα διαθέσιμα αποθέματα νερού
Δεν κινδυνεύει η ζωή της - Παραμένει στο νοσοκομείο για προληπτικούς λόγους
Καταγγελίες για «πρόχειρα» έργα και μπαζώματα - «Καμία σχέση με πραγματικότητα» απαντά ο ΔΕΔΔΗΕ
Έφυγε από τη ζωή στα 77, αφήνοντας πίσω της μια πολυσυζητημένη δημόσια πορεία
Οι νέες θέσεις Α΄ και Β΄ υπαρχηγού και οι γενικοί συντονιστές Βόρειας και Νότιας Ελλάδας
Επιχείρηση της Συνοριακής Φύλαξης Σουφλίου σε επαρχιακή οδό - Πώς προσπάθησαν να αποφύγουν τους ελέγχους
Άνοδος της θερμοκρασίας και νότιοι άνεμοι έως 5 μποφόρ - Ποιες περιοχές θα επηρεαστούν από τις πρωινές ώρες
Καταρρίφθηκε το ρεκόρ ημερήσιου ύψους βροχής σε πολλές περιοχές της Αττικής
Το έργο αναμένεται να παρουσιαστεί στην εκπαιδευτική κοινότητα και το ευρύ κοινό
Την τελευταία του πνοή άφησε το βράδυ της Πέμπτης (22/1) ο Σπύρος Καρατζαφέρης
Βροχές, καταιγίδες και θυελλώδεις νοτιάδες έως 9 μποφόρ
Νέα πρωτοβουλία Columbia–ΕΜΠ γεφυρώνει έρευνα και αγορά, επενδύοντας στη νέα γενιά επιστημόνων
Τι αναφέρουν οι πρώτες πληροφορίες
Τα καταστήματα ΟΠΑΠ και PLAY περνούν στην εποχή της Allwyn, με νέο look & feel, διεθνή αέρα και εμπειρίες που κοιτούν μπροστά, χωρίς να αλλάζει τίποτα από όσα αγαπήσαμε
Τι αναφέρουν οι πρώτες πληροφορίες
Αιχμές για συγκάλυψη, σύγκριση με Ισπανία και αναφορές στο πολιτικό εγχείρημα που ετοιμάζει
Έχετε δει 20 από 200 άρθρα.