- CITY GUIDE
- PODCAST
-
17°
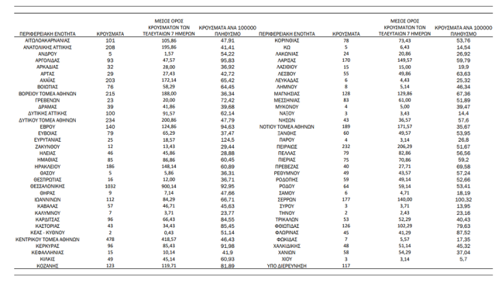
Η κατανομή για τα νέα κρούσματα κορωνοϊού σήμερα, Παρασκευή 3 Δεκεμβρίου 2021, σύμφωνα με την ανακοίνωση του ΕΟΔΥ.
Tην κατανομή για τα νέα κρούσματα κορωνοϊού σήμερα, Παρασκευή 3 Δεκεμβρίου 2021, ανακοίνωσε ο ΕΟΔΥ. Στην ανακοίνωση αναφέρονται επίσης οι νέοι θάνατοι ασθενών από επιπλοκές της Covid-19 και οι διασωληνωμένοι στις ΜΕΘ.
Σύμφωνα με την ημερήσια έκθεση επιδημιολογικής επιτήρησης, το τελευταίο 24ωρο επιβεβαιώθηκαν 6.201 νέα κρούσματα κορωνοϊού.
Οι νέοι θάνατοι είναι 97 και οι διασωληνωμένοι στις ΜΕΘ ανέρχονται σε 694.
Κορωνοϊός: Η γεωγραφική κατανομή για τα 6.201 νέα κρούσματα σήμερα
- 208 κρούσματα στην Π.Ε. Ανατολικής Αττικής
- 215 κρούσματα στην Π.Ε. Βόρειου Τομέα Αθηνών
- 100 κρούσματα στην Π.Ε. Δυτικής Αττικής
- 234 κρούσματα στην Π.Ε. Δυτικού Τομέα Αθηνών
- 478 κρούσματα στην Π.Ε. Κεντρικού Τομέα Αθηνών
- 189 κρούσματα στην Π.Ε. Νοτίου Τομέα Αθηνών
- 232 κρούσματα στην Π.Ε. Πειραιώς
- 43 κρούσματα στην Π.Ε. Νήσων
- 1.032 κρούσματα στην Π.Ε. Θεσσαλονίκης
- 101 κρούσματα στην Π.Ε. Αιτωλοακαρνανίας
- 5 κρούσματα στην Π.Ε. Άνδρου
- 93 κρούσματα στην Π.Ε. Αργολίδας
- 32 κρούσματα στην Π.Ε. Αρκαδίας
- 29 κρούσματα στην Π.Ε. Άρτας
- 203 κρούσματα στην Π.Ε. Αχαΐας
- 76 κρούσματα στην Π.Ε. Βοιωτίας
- 23 κρούσματα στην Π.Ε. Γρεβενών
- 39 κρούσματα στην Π.Ε. Δράμας
- 140 κρούσματα στην Π.Ε. Έβρου
- 79 κρούσματα στην Π.Ε. Εύβοιας
- 25 κρούσματα στην Π.Ε. Ευρυτανίας
- 12 κρούσματα στην Π.Ε. Ζακύνθου
- 46 κρούσματα στην Π.Ε. Ηλείας
- 85 κρούσματα στην Π.Ε Ημαθίας
- 186 κρούσματα στην Π.Ε. Ηρακλείου
- 5 κρούσματα στην Π.Ε. Θάσου
- 16 κρούσματα στην Π.Ε. Θεσπρωτίας
- 9 κρούσματα στην Π.Ε. Θήρας
- 112 κρούσματα στην Π.Ε. Ιωαννίνων
- 57 κρούσματα στην Π.Ε. Καβάλας
- 7 κρούσματα στην Π.Ε. Καλύμνου
- 96 κρούσματα στην Π.Ε. Καρδίτσας
- 43 κρούσματα στην Π.Ε. Καστοριάς
- 2 κρούσματα στην Π.Ε. Κέας-Κύθνου
- 96 κρούσματα στην Π.Ε. Κέρκυρας
- 15 κρούσματα στην Π.Ε. Κεφαλληνίας
- 49 κρούσματα στην Π.Ε. Κιλκίς
- 123 κρούσματα στην Π.Ε Κοζάνης
- 78 κρούσματα στην Π.Ε. Κορινθίας
- 5 κρούσματα στην Π.Ε. Κω
- 24 κρούσματα στην Π.Ε. Λακωνίας
- 170 κρούσματα στην Π.Ε Λάρισας
- 15 κρούσματα στην Π.Ε. Λασιθίου
- 55 κρούσματα στην Π.Ε. Λέσβου
- 6 κρούσματα στην Π.Ε. Λευκάδας
- 8 κρούσματα στην Π.Ε. Λήμνου
- 128 κρούσματα στην Π.Ε. Μαγνησίας
- 83 κρούσματα στην Π.Ε. Μεσσηνίας
- 4 κρούσματα στην Π.Ε. Μυκόνου
- 3 κρούσματα στη Π.Ε. Νάξου
- 60 κρούσματα στην Π.Ε. Ξάνθης
- 4 κρούσματα στην Π.Ε. Πάρου
- 79 κρούσματα στην Π.Ε. Πέλλας
- 75 κρούσματα στην Π.Ε. Πιερίας
- 40 κρούσματα στην Π.Ε. Πρέβεζας
- 49 κρούσματα στην Π.Ε. Ρεθύμνου
- 59 κρούσματα στην Π.Ε. Ροδόπης
- 64 κρούσματα στην Π.Ε. Ρόδου
- 6 κρούσματα στην Π.Ε. Σάμου
- 177 κρούσματα στην Π.Ε. Σερρών
- 3 κρούσματα στην Π.Ε. Σύρου
- 2 κρούσματα στην Π.Ε. Τήνου
- 53 κρούσματα στην Π.Ε. Τρικάλων
- 126 κρούσματα στην Π.Ε. Φθιώτιδας
- 45 κρούσματα στην Π.Ε. Φλώρινας
- 7 κρούσματα στην Π.Ε. Φωκίδας
- 48 κρούσματα στην Π.Ε. Χαλκιδικής
- 58 κρούσματα στην Π.Ε. Χανίων
- 3 κρούσματα στην Π.Ε. Χίου
- 117 κρούσματα υπό διερεύνηση
Κορωνοϊός: Τα νέα κρούσματα στην Αττική
Στο «κόκκινο» παραμένει η Αττική καθώς από τα 6.201 νέα κρούσματα που ανακοίνωσε ο ΕΟΔΥ οι 1699 μολύνσεις εντοπίζονται στο Λεκανοπέδιο.
- Ανατολική Αττική 208
- Βόρειος Τομέας Αθήνας 215
- Δυτική Αττική 100
- Δυτικός Τομέας Αθήνας 234
- Κεντρικός Τομέας Αθήνας 478
- Νήσων 43
- Νότιος Τομέας Αθήνας 189
- Πειραιάς 232
Στη Θεσσαλονίκη καταγράφηκαν 1032 νέες μολύνσεις.
Ακολουθήστε την Athens Voice στο Google News κι ενημερωθείτε πρώτοι για όλες τις ειδήσεις
ΤΑ ΠΙΟ ΔΗΜΟΦΙΛΗ
ΔΙΑΒΑΖΟΝΤΑΙ ΠΑΝΤΑ
ΔΕΙΤΕ ΕΠΙΣΗΣ
Μετά από μια γενναία, αλλά άνιση μάχη με τον καρκίνο
Συνεργασία του Δήμου Ελληνικού - Αργυρούπολης με τον Δήμο Παλαιού Φαλήρου
Σχετικά με το πρόστιμο ύψους 300 ευρώ που επιβλήθηκε την περασμένη Κυριακή
Κάλεσμα σε όλους τους designers για υποβολή προτάσεων
Επιχειρούν 52 πυροσβέστες και ένα αεροσκάφος
Η πρόγνωση του Θοδωρή Κολυδά
Όχημα κατέληξε σε χαντάκι
Δείτε τι έγινε το περασμένο Σάββατο με τον Μάκη στο Fuzz Club
Η φωτιά συνεχίζει να καίει, μήνυμα 112 στους κατοίκους να μείνουν στα σπίτια τους
Μεγάλη κινητοποίηση της Πυροσβεστικής
«Η μεγαλύτερη αστική απαλλοτρίωση στη χώρα - Πάμε και για ρεκόρ ταχύτητας και ποιότητας» λέει ο Δούκας
Καθώς και δύο ακόμα κατηγορουμένων
Τι αναφέρει η ανακοίνωση του υπουργείου Αγροτικής Ανάπτυξης
Νέα υπόθεση απάτης στην περιοχή
Τι διεκδικούν οι εργαζόμενοι
Τους συνέλαβαν αστυνομικοί μετά από καταδίωξη
Μέχρι πότε θα διαρκέσει η φθινοπωρινή «εισβολή» από τα Βαλκάνια
Τι δήλωσε ο Έλληνας τραγουδιστής
Θα απαντήσει σε ερωτήσεις δημοσιογράφων μαζί με τους πρωταγωνιστές της ελληνικής αποστολής
Έχετε δει 20 από 200 άρθρα.