- CITY GUIDE
- PODCAST
-
11°
Επαναπροώθηση προσφύγων στην Ελλάδα ζητά ο Ντε Μεζιέρ
Ο υπουργός Εσωτερικών της Γερμανίας επιθυμεί εφαρμογή της Συνθήκης του Δουβλίνου
«Κάναμε πολλά στην Ευρώπη για να βελτιώσουμε την κατάσταση στην Ελλάδα. Αυτό πρέπει να έχει συνέπειες και να οδηγήσει στο να μπορούν να σταλούν πίσω στην Ελλάδα πρόσφυγες σύμφωνα με τη συνθήκη του Δουβλίνου», είπε ο Γερμανός υπουργός Εσωτερικών, Τόμας Ντε Μεζιέρ, σε συνέντευξή του στην κυριακάτικη Welt.
Όπως τόνισε, πρέπει να επιτευχθεί μια κοινή ευρωπαϊκή στάση. «Εάν επιταχύνουμε μόνοι μας υπάρχει ο κίνδυνος τα (γερμανικά) διοικητικά δικαστήρια να απαγορεύσουν εντός ολίγου χρόνου την επαναπροώθηση».
Ο Τόμας Ντε Μεζιέρ άσκησε κριτική στην Ελλάδα για τον μεγάλο αριθμό προσφύγων τα περασμένα χρόνια: «Εκεί, στα εξωτερικά σύνορα της Ευρωπαϊκής Ένωσης έπρεπε να γίνεται η καταγραφή και να τελειώνει το (προσφυγικό) κύμα. Τότε η Ουγγαρία δεν θα είχε υψώσει φράχτη», όπως είπε στη γερμανική εφημερίδα.
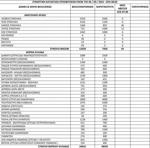
Την ίδια ώρα, σύμφωνα με τα νεότερα επίσημα στοιχεία, στη χώρα μας βρίσκονται 59.548 πρόσφυγες.
Στην τελευταία καταμέτρηση, έως το πρωί της Κυριακής είχαν σημειωθεί 64 νέες αφίξεις στα νησιά του Αιγαίου, όπου βρίσκονται συνολικά 12.429 πρόσφυγες.

ΠΡΟΣΦΑΤΑ
ΤΑ ΠΙΟ ΔΗΜΟΦΙΛΗ
ΔΙΑΒΑΖΟΝΤΑΙ ΠΑΝΤΑ
ΔΕΙΤΕ ΕΠΙΣΗΣ
Νεκρός ο 12χρονος που είχε δεχθεί επίθεση καρχαρία στο Σίδνεϊ
Αποκαλεί «οπλοφόρο» τον 37χρονο που πυροβολήθηκε εν ψυχρώ από πράκτορες της ICE
«Είχε νόμιμη άδεια οπλοκατοχής» απαντά η αστυνομία
Σύμφωνα με την Telegraph, σε πολλές περιπτώσεις όσοι μολύνονται πέφτουν σε κώμα
Ο Τιμ Γουόλς ζητά τον άμεσο τερματισμό των ομοσπονδιακών επιχειρήσεων
Πιθανός νέος γύρος συνομιλιών με Ρωσία και ΗΠΑ
Αυξάνονται οι φόβοι για επικείμενη αμερικανική επίθεση
Μετά την ανακοίνωση εμπορικής συμφωνίας με την Κίνα από τον Καναδό πρωθυπουργό
Οργή στη Δανία για τις δηλώσεις - «Είμαστε η χώρα με τις μεγαλύτερες απώλειες ανά κάτοικο», απαντά η πρωθυπουργός
Χάος από χιονοπτώσεις και πλημμύρες σε όλη τη χώρα - Εκατοντάδες τραυματίες και ισοπεδωμένες κατοικίες
Επίσημη διαμαρτυρία της κυβέρνησης Μελόνι για την απόφαση των ελβετικών αρχών
Απάτη-μαμούθ - Πώς οδηγήθηκε σε οικονομική καταστροφή
Ανοιχτή επιστολή προς τους ηγέτες στο Νταβός για μείωση των ανισοτήτων - «Έχουν εξαγοράσει τις δημοκρατίες μας»
Μετέφεραν παιδί και πατέρα σε κέντρο κράτησης στο Τέξας - «Απανθρωπιά πέρα από λόγια»
Μαζικές επιθέσεις με drones και πυραύλους πλήττουν τις δύο μεγαλύτερες ουκρανικές πόλεις
Η αντίληψη των Αμερικανών για τη Νέα Τάξη των «δικών τους» Πραγμάτων
Η Ουάσινγκτον λέει ότι στόχος ήταν σκάφος ναρκοδιακίνησης - Πρώτη επίθεση μετά τη σύλληψη Μαδούρο
Ο λαϊκισμός και το εθνικό πολιτικό κόστος μπλόκαραν την ευρωπαϊκή στρατηγική
Νοσηλευόταν σε κρίσιμη κατάσταση - Συγκλονισμένη η οικογένειά του
Σάλος με τα σχόλια του Αμερικανού προέδρου - «Προσβλητικά και απαράδεκτα» λέει ο Στάρμερ
Έχετε δει 20 από 200 άρθρα.