- CITY GUIDE
- PODCAST
-
11°
Κορωνοϊός: 20.361 νέα κρούσματα σήμερα - Πού εντοπίζονται
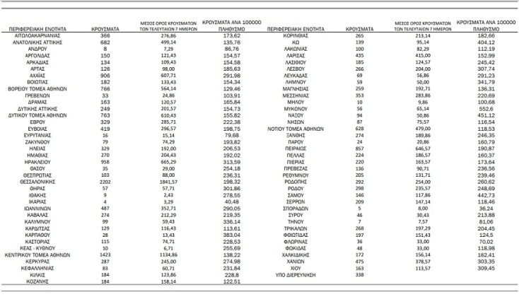
Η γεωγραφική κατανομή των κρουσμάτων
Η κατανομή για τα κρούσματα σήμερα, Δευτέρα 14 Φεβρουαρίου 2022, σύμφωνα με την ανακοίνωση του ΕΟΔΥ για τον κορωνοϊό.
Την κατανομή για τα νέα κρούσματα κορωνοϊού σήμερα, Δευτέρα 14 Φεβρουαρίου 2022, δημοσιεύει ο ΕΟΔΥ.
Σύμφωνα με την ημερήσια έκθεση επιδημιολογικής επιτήρησης του ΕΟΔΥ, το τελευταίο 24ωρο επιβεβαιώθηκαν 20.361 κρούσματα κορωνοϊού στην Ελλάδα και 78 νέοι θάνατοι ασθενών από επιπλοκές της Covid-19.
Οι διασωληνωμένοι στις ΜΕΘ είναι 494.
Κορωνοϊός: H Γεωγραφική κατανομή για τα νέα κρούσματα
- 682 κρούσματα στην Π.Ε. Ανατολικής Αττικής
- 766 κρούσματα στην Π.Ε. Βόρειου Τομέα Αθηνών
- 249 κρούσματα στην Π.Ε. Δυτικής Αττικής
- 763 κρούσματα στην Π.Ε. Δυτικού Τομέα Αθηνών
- 1.423 κρούσματα στην Π.Ε. Κεντρικού Τομέα Αθηνών
- 628 κρούσματα στην Π.Ε. Νοτίου Τομέα Αθηνών
- 857 κρούσματα στην Π.Ε. Πειραιώς
- 87 κρούσματα στην Π.Ε. Νήσων
- 2.202 κρούσματα στην Π.Ε. Θεσσαλονίκης
- 366 κρούσματα στην Π.Ε. Αιτωλοακαρνανίας
- 8 κρούσματα στην Π.Ε. Άνδρου
- 150 κρούσματα στην Π.Ε. Αργολίδας
- 134 κρούσματα στην Π.Ε. Αρκαδίας
- 126 κρούσματα στην Π.Ε. Άρτας
- 906 κρούσματα στην Π.Ε. Αχαΐας
- 182 κρούσματα στην Π.Ε. Βοιωτίας
- 33 κρούσματα στην Π.Ε. Γρεβενών
- 163 κρούσματα στην Π.Ε. Δράμας
- 329 κρούσματα στην Π.Ε. Έβρου
- 419 κρούσματα στην Π.Ε. Εύβοιας
- 16 κρούσματα στην Π.Ε. Ευρυτανίας
- 79 κρούσματα στην Π.Ε. Ζακύνθου
- 329 κρούσματα στην Π.Ε. Ηλείας
- 270 κρούσματα στην Π.Ε Ημαθίας
- 958 κρούσματα στην Π.Ε. Ηρακλείου
- 35 κρούσματα στην Π.Ε. Θάσου
- 103 κρούσματα στην Π.Ε. Θεσπρωτίας
- 57 κρούσματα στην Π.Ε. Θήρας
- 9 κρούσματα στην Π.Ε. Ιθάκης
- 4 κρούσματα στην Π.Ε. Ικαρίας
- 487 κρούσματα στην Π.Ε. Ιωαννίνων
- 274 κρούσματα στην Π.Ε. Καβάλας
- 99 κρούσματα στην Π.Ε Καλύμνου
- 129 κρούσματα στην Π.Ε. Καρδίτσας
- 28 κρούσματα στην Π.Ε. Καρπάθου
- 115 κρούσματα στην Π.Ε. Καστοριάς
- 10 κρούσματα στην Π.Ε Κέας-Κύθνου
- 287 κρούσματα στην Π.Ε. Κέρκυρας
- 83 κρούσματα στην Π.Ε. Κεφαλληνίας
- 184 κρούσματα στην Π.Ε. Κιλκίς
- 184 κρούσματα στην Π.Ε Κοζάνης
- 265 κρούσματα στην Π.Ε. Κορινθίας
- 139 κρούσματα στην Π.Ε. Κω
- 100 κρούσματα στην Π.Ε. Λακωνίας
- 435 κρούσματα στην Π.Ε Λάρισας
- 185 κρούσματα στην Π.Ε. Λασιθίου
- 266 κρούσματα στην Π.Ε. Λέσβου
- 69 κρούσματα στην Π.Ε. Λευκάδας
- 59 κρούσματα στην Π.Ε. Λήμνου
- 259 κρούσματα στην Π.Ε. Μαγνησίας
- 353 κρούσματα στην Π.Ε. Μεσσηνίας
- 10 κρούσματα στην Π.Ε Μήλου
- 56 κρούσματα στην Π.Ε. Μυκόνου
- 94 κρούσματα στην Π.Ε. Νάξου
- 274 κρούσματα στην Π.Ε. Ξάνθης
- 24 κρούσματα στην Π.Ε. Πάρου
- 224 κρούσματα στην Π.Ε. Πέλλας
- 220 κρούσματα στην Π.Ε. Πιερίας
- 136 κρούσματα στην Π.Ε. Πρέβεζας
- 205 κρούσματα στην Π.Ε. Ρεθύμνου
- 292 κρούσματα στην Π.Ε. Ροδόπης
- 298 κρούσματα στην Π.Ε. Ρόδου
- 146 κρούσματα στην Π.Ε. Σάμου
- 209 κρούσματα στην Π.Ε. Σερρών
- 5 κρούσματα στην Π.Ε. Σποράδων
- 46 κρούσματα στην Π.Ε. Σύρου
- 7 κρούσματα στην Π.Ε. Τήνου
- 268 κρούσματα στην Π.Ε. Τρικάλων
- 197 κρούσματα στην Π.Ε. Φθιώτιδας
- 36 κρούσματα στην Π.Ε. Φλώρινας
- 48 κρούσματα στην Π.Ε. Φωκίδας
- 172 κρούσματα στην Π.Ε. Χαλκιδικής
- 475 κρούσματα στην Π.Ε. Χανίων
- 163 κρούσματα στην Π.Ε Χίου
- 338 κρούσματα υπό διερεύνηση
Στην Αττική το τελευταίο 24ωρο καταγράφηκαν 5.455 νέες μολύνσεις.
Κορωνοϊός: Τα νέα κρούσματα στην Αττική
- Ανατολική Αττική 682
- Βόρειος Τομέας Αθήνας 766
- Δυτική Αττική 249
- Δυτικός Τομέας Αθήνας 763
- Κεντρικός Τομέας Αθήνας 1423
- Νήσων 87
- Νότιος Τομέας Αθήνας 628
- Πειραιάς 857
Ακολουθεί η Θεσσαλονίκη με 2.202 νέα κρούσματα.
Ακολουθήστε την Athens Voice στο Google News κι ενημερωθείτε πρώτοι για όλες τις ειδήσεις
ΤΑ ΠΙΟ ΔΗΜΟΦΙΛΗ
ΔΙΑΒΑΖΟΝΤΑΙ ΠΑΝΤΑ
ΔΕΙΤΕ ΕΠΙΣΗΣ
Eναλλάξ διακοπές κυκλοφορίας σε δεξιά ή αριστερή λωρίδα
Οι βροχές των τελευταίων ημερών αύξησαν σημαντικά τα διαθέσιμα αποθέματα νερού
Δεν κινδυνεύει η ζωή της - Παραμένει στο νοσοκομείο για προληπτικούς λόγους
Καταγγελίες για «πρόχειρα» έργα και μπαζώματα - «Καμία σχέση με πραγματικότητα» απαντά ο ΔΕΔΔΗΕ
Έφυγε από τη ζωή στα 77, αφήνοντας πίσω της μια πολυσυζητημένη δημόσια πορεία
Οι νέες θέσεις Α΄ και Β΄ υπαρχηγού και οι γενικοί συντονιστές Βόρειας και Νότιας Ελλάδας
Επιχείρηση της Συνοριακής Φύλαξης Σουφλίου σε επαρχιακή οδό - Πώς προσπάθησαν να αποφύγουν τους ελέγχους
Άνοδος της θερμοκρασίας και νότιοι άνεμοι έως 5 μποφόρ - Ποιες περιοχές θα επηρεαστούν από τις πρωινές ώρες
Καταρρίφθηκε το ρεκόρ ημερήσιου ύψους βροχής σε πολλές περιοχές της Αττικής
Το έργο αναμένεται να παρουσιαστεί στην εκπαιδευτική κοινότητα και το ευρύ κοινό
Την τελευταία του πνοή άφησε το βράδυ της Πέμπτης (22/1) ο Σπύρος Καρατζαφέρης
Βροχές, καταιγίδες και θυελλώδεις νοτιάδες έως 9 μποφόρ
Νέα πρωτοβουλία Columbia–ΕΜΠ γεφυρώνει έρευνα και αγορά, επενδύοντας στη νέα γενιά επιστημόνων
Τι αναφέρουν οι πρώτες πληροφορίες
Τα καταστήματα ΟΠΑΠ και PLAY περνούν στην εποχή της Allwyn, με νέο look & feel, διεθνή αέρα και εμπειρίες που κοιτούν μπροστά, χωρίς να αλλάζει τίποτα από όσα αγαπήσαμε
Τι αναφέρουν οι πρώτες πληροφορίες
Αιχμές για συγκάλυψη, σύγκριση με Ισπανία και αναφορές στο πολιτικό εγχείρημα που ετοιμάζει
Έχετε δει 20 από 200 άρθρα.