Κατατέθηκε το νομοσχέδιο για τις Ένοπλες Δυνάμεις: Τι αλλάζει σε εκπαίδευση, θητεία και μισθούς
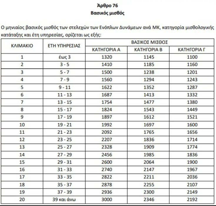
Δείτε τον πίνακα με το νέο μισθολόγιο
Το Υπουργείο Εθνικής Άμυνας κατέθεσε στη Βουλή το νομοσχέδιο για τις Ένοπλες Δυνάμεις
Κατατέθηκε στη Βουλή το νομοσχέδιο του Υπουργείου Εθνικής Άμυνας που φέρνει αλλαγές στις Ένοπλες Δυνάμεις.
Το νομοσχέδιο που φέρει τον τίτλο: «Χάρτης Μετάβασης των Ενόπλων Δυνάμεων στη Νέα Εποχή (σταδιοδρομία και εξέλιξη αξιωματικών, μονίμων υπαξιωματικών και Επαγγελματιών Οπλιτών των Ενόπλων Δυνάμεων, μισθολογικές ρυθμίσεις για το στρατιωτικό προσωπικό των Ενόπλων Δυνάμεων, αναδιοργάνωση ακαδημαϊκής εκπαίδευσης των Ενόπλων Δυνάμεων, στρατολογία των Ελλήνων, εθελοντική στράτευση γυναικών και άλλες διατάξεις)».
Σκοπός του νομοσχεδίου είναι ο εξορθολογισμός και η βελτίωση του πλαισίου σταδιοδρομίας των στελεχών των Ενόπλων Δυνάμεων και η ενίσχυση της αξιοκρατίας στην εξέλιξή τους, η εισαγωγή νέων μισθολογικών ρυθμίσεων για τα στελέχη των Ενόπλων Δυνάμεων, ο εκσυγχρονισμός και η ενοποίηση των ρυθμίσεων για την κατάσταση των στελεχών, η αναβάθμιση της λειτουργίας των στρατιωτικών σχολών των Ενόπλων Δυνάμεων, η παροχή ολοκληρωμένης εκπαίδευσης στους οπλίτες για τη βέλτιστη δυνατότητα υπεράσπισης της πατρίδας, την παροχή πιστοποιημένης επιμόρφωσης για τη διασύνδεση με την αγορά εργασίας, καθώς και την αύξηση της στελέχωσης των υπηρεσιών των Ενόπλων Δυνάμεων και ειδικότερα αυτών που εδρεύουν σε παραμεθόριες περιοχές και η αύξηση της επιχειρησιακής ετοιμότητας των εφέδρων.
Τι προβλέπει το νομοσχέδιο για τις Ένοπλες Δυνάμεις
Όπως έχει γίνει γνωστό, το νομοσχέδιο προβλέπει:
α) η θεσμοθέτηση οργανικών θέσεων των αξιωματικών των Ενόπλων Δυνάμεων κατά κλάδο των Ενόπλων Δυνάμεων, προέλευση, βαθμό και κατηγορία,
β) η αναδιαμόρφωση της συγκρότησης των Συμβουλίων Κρίσεων των αξιωματικών,
γ) η αναδιαμόρφωση των προϋποθέσεων παραμονής των αξιωματικών ανά βαθμό,
δ) η θέσπιση νέων βαθμών των μόνιμων υπαξιωματικών των Κλάδων και των Κοινών Σωμάτων των Ενόπλων Δυνάμεων
ε) η διενέργεια προαγωγών αποκλειστικά για κάλυψη κενών οργανικών θέσεων ανωτέρων βαθμών,
στ) η θέσπιση νέων βαθμών των Επαγγελματιών Οπλιτών (ΕΠΟΠ) ως Υπαξιωματικών Ειδικής Προέλευσης (ΥΕΠ),
ζ) η ρύθμιση των προϋποθέσεων και της διαδικασίας μετάταξης των μόνιμων Υπαξιωματικών, αποφοίτων των Ανωτάτων Σχολών Μόνιμων Υπαξιωματικών (ΑΣΜΥ), στο σώμα αξιωματικών,
η) η αναδιάρθρωση των βασικών μισθών και των μισθολογικών κλιμακίων των στελεχών των Ενόπλων Δυνάμεων, τα οποία συνδέονται με τα έτη υπηρεσίας και την κατηγορία προέλευσης,
θ) η δημιουργία μισθολογικών βαθμίδων ανά κατηγορία προέλευσης, στις οποίες αποτυπώνεται η σταδιακή μισθολογική τους εξέλιξη σύμφωνα με τους νέους βαθμούς,
ι) η ενιαία ρύθμιση των ζητημάτων που αφορούν στις καταστάσεις των αξιωματικών και μόνιμων υπαξιωματικών και ο σαφής διαχωρισμός των καταστάσεων σε κύριες και πρόσθετες,
ια) η σύσταση της Διακλαδικής Διοίκησης Ακαδημαϊκής Εκπαίδευσης (ΔΙΔΑΕ), ο καθορισμός των αρμοδιοτήτων και των οργάνων της,
ιβ) η σύμπραξη της Σχολής Εθνικής Άμυνας (ΣΕΘΑ) και της Ανώτατης Διακλαδικής Σχολής Πολέμου (ΑΔΙΣΠΟ) με τα Ανώτατα Εκπαιδευτικά Ιδρύματα (ΑΕΙ) και τα Ανώτατα Στρατιωτικά Εκπαιδευτικά Ιδρύματα (ΑΣΕΙ) για την εκπόνηση Προγραμμάτων Μεταπτυχιακών Σπουδών (ΠΜΣ),
ιγ) η ρύθμιση ζητημάτων που αφορούν στην υποχρέωση στράτευσης,
ιδ) η αναμόρφωση της στρατολογικής νομοθεσίας και ιδίως των ρυθμίσεων που αφορούν στη χορήγηση αναβολής σε σπουδαστές δευτεροβάθμιας ή τριτοβάθμιας εκπαίδευσης, στη χορήγηση αναβολής σε μόνιμους κατοίκους εξωτερικού και στην κρίση της δυνατότητας στράτευσης όσων πάσχουν από ψυχικές παθήσεις,
ιε) ο καθορισμός του πλαισίου εκπαίδευσης των οπλιτών,
ιστ) ο καθορισμός διαδικασίας για την επιμόρφωση των οπλιτών στα Κέντρα Διά Βίου Μάθησης (ΚΔΒΜ) των Ενόπλων Δυνάμεων,
ιζ) ο καθορισμός πλαισίου για τις τοποθετήσεις και μεταθέσεις των οπλιτών,
ιη) η ρύθμιση θεμάτων μετεκπαίδευσης εφεδρείας και η θέσπιση του θεσμού του ενεργού εθελοντή έφεδρου,
ιθ) η θεσμοθέτηση εθελοντικής στράτευσης γυναικών,
κ) η παροχή κινήτρου σε ανυπότακτους για κατάταξη στις Ένοπλες Δυνάμεις έως την 31η Δεκεμβρίου 2027,
κα) η ρύθμιση θεμάτων υγειονομικής εξέτασης και απόλυσης των ΕΠΟΠ και
κβ) η ρύθμιση θεμάτων που αφορούν στη Στρατιωτική Δικαιοσύνη.
ΤΑ ΠΙΟ ΔΗΜΟΦΙΛΗ
ΔΙΑΒΑΖΟΝΤΑΙ ΠΑΝΤΑ
ΔΕΙΤΕ ΕΠΙΣΗΣ
Βίντεο του υπουργού Υγείας από την κοπή της πρωτοχρονιάτικης πίτας
Πώς είναι δυνατόν να προκύψει από αυτήν την πολιτική Βαβέλ βιώσιμη εναλλακτική κυβερνητική λύση;
Εκτός Κοινοβουλευτικής Συνέλευσης του Συμβουλίου της Ευρώπης
Στα 3,026 δισ. ευρώ οι οφειλές τον Νοέμβριο, με μικρή μηνιαία μείωση αλλά ετήσια αύξηση
Ο Πρωθυπουργός συνομίλησε με το ιατρικό προσωπικό, καθώς και με ασθενείς για τις μεταρρυθμίσεις του ΕΣΥ
Σε κλίμα ενότητας πραγματοποιήθηκε εκδήλωση εις μνήμην του Μακαριστού Αρχιεπισκόπου Αλβανίας, Αναστασίου
«Τα Κέντρα Καινοτομίας που δημιουργούμε στη χώρα είναι σημείο αναφοράς για την εκπαίδευση», δήλωσε η Υπουργός
«Θα εφαρμοστεί ο νόμος όπως προβλέπεται», ξεκαθάρισε ο υπουργός Προστασίας του Πολίτη
Πλεόνασμα και αυξημένα έσοδα καταγράφει ο κρατικός προϋπολογισμός, σύμφωνα με τα ταμειακά στοιχεία της ΤτΕ
Η εκπρόσωπος Τύπου της ΝΔ θέτει όρια στον διάλογο με τους αγρότες και σχολιάζει ΟΠΕΚΕΠΕ, δημοσκοπήσεις και ελληνοτουρκικά
Σφοδρή επίθεση της ευρωομάδας της ΝΔ στο ΠΑΣΟΚ για τη στάση του στα μέτρα προστασίας αγροτών
Ένταση on air για τις δηλώσεις με τα ναρκωτικά - Η ανάρτησή του λίγη ώρα μετά
«Δεν είναι πια ούτε στις λίστες των ανενεργών μελών της ΝΔ»
Τι επιλογές έχει όποιος ψηφίζει εκσυγχρονισμό και προσαρμογή στην πραγματικότητα;
«Δεν θα συζητήσουμε ποτέ θέματα κυριαρχίας της χώρας. Είναι αδιαπραγμάτευτα»
Η ιστορική ναυμαχία, ο Καποδίστριας και η φρεγάτα «Κίμων»
Η ATHENS VOICE διαλέγει κάθε μέρα τις αναρτήσεις που συζητήθηκαν περισσότερο στα social media
Η ανάρτηση του πρωθυπουργού για την προμήθεια των φρεγατών Belharra
«Η Ελλάδα δεν απειλεί την Τουρκία, το ανάποδο συμβαίνει», ξεκαθάρισε ο υπουργός Άμυνας
Κατά τη διάρκεια του γεύματος συζητήθηκε η οικονομική ανάκαμψη της Ελλάδας
Έχετε δει 20 από 200 άρθρα.