- CITY GUIDE
- PODCAST
-
17°
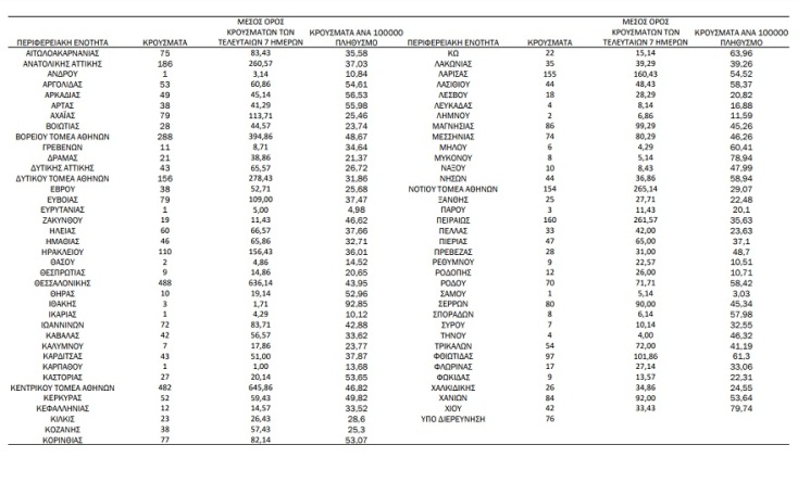
Κορωνοϊός: Τα κρούσματα σήμερα Μεγάλο Σάββατο 23 Απριλίου 2022 και η γεωγραφική κατανομή, σύμφωνα την ανακοίνωση του ΕΟΔΥ για τον κορωνοϊό.
Την κατανομή για τα νέα κρούσματα κορωνοϊού σήμερα, Μεγάλο Σάββατο 23 Απριλίου 2022, δημοσιεύει ο ΕΟΔΥ.
Σύμφωνα με την ημερήσια έκθεση επιδημιολογικής επιτήρησης του ΕΟΔΥ, το τελευταίο 24ωρο επιβεβαιώθηκαν 4.175 κρούσματα κορωνοϊού στην Ελλάδα και 28 νέοι θάνατοι ασθενών από επιπλοκές της Covid-19.
Οι διασωληνωμένοι στις ΜΕΘ είναι 277.
Κορωνοϊός: Η γεωγραφική κατανομή για τα κρούσματα το Μεγάλο Σάββατο
Ο ΕΟΔΥ ανακοίνωσε σήμερα 4.175 νέα κρούσματα και οι 1.513 μολύνσεις εντοπίζονται στην Αττική.
Κορωνοϊός: Τα νέα κρούσματα στην Αττική
- Ανατολική Αττική 186
- Βόρειος Τομέας Αθήνας 288
- Δυτική Αττική 43
- Δυτικός Τομέας Αθήνας 156
- Κεντρικός Τομέας Αθήνας 482
- Νήσων 44
- Νότιος Τομέας Αθήνας 154
- Πειραιάς 160
Στη Θεσσαλονίκη καταγράφηκαν 488 νέες μολύνσεις.
Ακολουθήστε την Athens Voice στο Google News κι ενημερωθείτε πρώτοι για όλες τις ειδήσεις
ΤΑ ΠΙΟ ΔΗΜΟΦΙΛΗ
ΔΙΑΒΑΖΟΝΤΑΙ ΠΑΝΤΑ
ΔΕΙΤΕ ΕΠΙΣΗΣ
Ο 89χρονος περιέγραφε χρόνια ταλαιπωρίας με το ΙΚΑ και προειδοποιούσε για εκδικητική ενέργεια
Δεμένα θα είναι τα πλοία στα λιμάνια
«Δεν υπάρχει λόγος ανησυχίας»
Κατηγορείται για έκθεση ανηλίκου σε κίνδυνο - Το παιδί απομακρύνθηκε με εισαγγελική εντολή
«Χρειάζεται μεγάλη προσοχή στις εκτιμήσεις μας» ανέφερε ο σεισμολόγος
«Από Δευτέρα επιστροφή στην Άνοιξη», δήλωσε ο μετεωρολόγος
Τι πρέπει να κάνουν οι επιβάτες που έχουν εκδώσει εισιτήρια
Ιατρικό ανακοινωθέν Ερυθρού Σταυρού - Χωρίς σοβαρά ευρήματα οι τραυματισμοί των πέντε ασθενών
Ένταση μετά το μακελειό Νοεμβρίου - Καταγγελία για απειλές σε 9χρονο παιδί από τη χήρα θύματος
Μέσα στο όχημα βρισκόταν μια γυναίκα με το παιδί της
Καθηγήτρια φέρεται να πρόβαλλε θρίλερ σε μαθητές, προκαλώντας τους φόβο και αντίδραση των γονέων
Η πιθανή μεταφορά της αργίας δημιουργεί ιδανικές συνθήκες για πέντε συνεχόμενες ημέρες ανάπαυσης
Τι αναφέρουν οι πρώτες πληροφορίες
Οδηγήθηκε νωρίτερα ενώπιον του ανακριτή του Ναυτοδικείου Πειραιά
Ποια δρομολόγια θα υποκατασταθούν από λεωφορεία την Πέμπτη 30/4
Τι αναφέρουν πηγές της ΕΛ.ΑΣ
Τι θα γίνει με τον καιρό στην Ελλάδα
Έχετε δει 20 από 200 άρθρα.