- CITY GUIDE
- PODCAST
-
17°
Σε ύφεση η μεταδοτικότητα του κορωνοϊού στην Ελλάδα
Έρευνα του Κέντρου Ανάλυσης Παγκόσμιων Λοιμωδών Νοσημάτων
Νέα μελέτη επιβεβαιώνει ότι η κατάσταση στην Ελλάδα είναι πολύ καλύτερη από άλλες χώρες της Ευρώπης, καθώς η μεταδοτικότητα οδηγείται σε πλήρη ύφεση
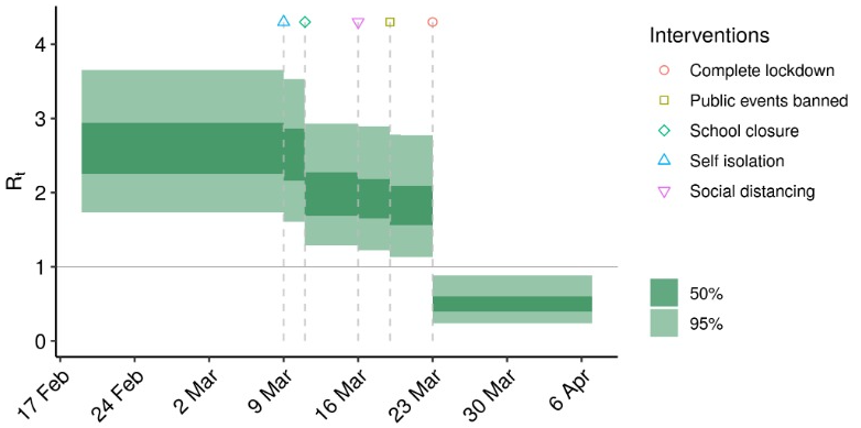
Η αποδοτικότητα των μέτρων, με τον συνδυασμό αλλά και τη σειρά που ελήφθησαν στην Ελλάδα, είναι πολύ μεγαλύτερη σε σχέση με άλλες ευρωπαϊκές χώρες, καθότι η μεταδοτικότητα του ιού, στη χώρα μας, ακόμα και με τις στατιστικές διακυμάνσεις, οδηγείται σε πλήρη ύφεση. Η σημαντική αυτή διαπίστωση προκύπτει από μελέτη του Κέντρου Ανάλυσης Παγκόσμιων Λοιμωδών Νοσημάτων (MRC Centre for Global Infectious Disease Analysis) του Imperial Gollege, στην οποία συμμετείχε από ελληνικής πλευράς ο επίκουρος καθηγητής στο Τμήμα Υγιεινής & Επιδημιολογίας Ιατρικής Σχολής ΕΚΠΑ Γκίκας Μαγιορκίνης, ο οποίος είναι και μέλος της επιτροπής εμπειρογνωμόνων του υπουργείου Υγείας.
«Στη μελέτη μας φαίνεται ότι η Ελλάδα παρουσίασε κατακόρυφη πτώση των μολύνσεων από κορωνοϊό στις 23 Μαρτίου, την ημέρα που τέθηκε σε εφαρμογή το λοκντάουν. Από την ίδια μέρα φαίνεται ότι και η μεταδοτικότητα του ιού είναι σε πορεία συρρίκνωσης, σε σχέση με άλλες χώρες, ενώ σημαντική μείωση εμφάνισης κρουσμάτων προηγήθηκε στις 1Ο Μαρτίου, με το κλείσιμο των σχολείων».
Αν αναστραφεί τώρα το λοκντάουν η επιδημία θα αναζωπυρωθεί
Εντυπωσιακό, λέει ο κ. Μαγιορκίνης, είναι το γεγονός ότι σε σύγκριση με τη Γερμανία, η οποία έχει κάνει εκτεταμένα τεστ και ακόμη δεν έχει περάσει σε ύφεση, η Ελλάδα είναι σε καλύτερη θέση και τα μέτρα έχουν μεγαλύτερη αποτελεσματικότητα. Ένα σημαντικό στοιχείο που αναδεικνύει αυτή η μελέτη, τονίζει ο διακεκριμένος επιδημιολόγος, είναι ότι αν αναστραφεί το λοκντάουν σε αυτή τη χρονική περίοδο, η επιδημία θα αναζωπυρωθεί, και αυτό είναι κάτι που πρέπει να προσέξει ιδιαίτερα ο κόσμος, και να μην πάρει θάρρος από την καλή πορεία που διανύουμε. «Στις 28 Μαρτίου είχατε δηλώσει στο ΑΠΕ-ΜΠΕ ότι αν τα νούμερα συνεχιστούν σε αυτούς τους ρυθμούς, ίσως σε τρεις εβδομάδες, μπούμε σε ύφεση. Σήμερα 13 μέρες μετά φαίνεται ότι αυτή ήρθε νωρίτερα;», προκύπτει εύλογα το ερώτημα. Στις 28 Μαρτίου είχα αναφερθεί σε ύφεση του συνολικού αριθμού κρουσμάτων στη χώρα, απαντά ο κ. Μαγιορκίνης. «Σήμερα βλέπουμε ότι η μεταδοτικότητα έπεσε αρκετά νωρίς, γεγονός που με κάνει να αισθάνομαι ακόμα πιο αισιόδοξος».
Λοκντάουν και κλείσιμο σχολείων τα πιο αποτελεσματικά μέτρα
Όσον αφορά την Ιταλία ο επίκουρος καθηγητής αναφέρει ότι ο δρόμος παραμένει ακόμη μακρύς, παρόλο που έχει αρχίσει να περνάει σε φάση συρρίκνωσης. «Είναι σε λίγο καλύτερη μοίρα από την Ισπανία, η οποία είναι ακόμη σε φάση σταθεροποίησης. Η Γαλλία μπαίνει πιο αργά από την Ισπανία σε φάση σταθεροποίησης, ενώ η Αγγλία θα αργήσει να μπει σε ύφεση». Ανησυχητική φαίνεται, σύμφωνα με τον κ. Μαγιορκίνη, ότι είναι η πορεία της Σουηδίας, η οποία δεν έχει περάσει ακόμη σε λοκντάουν, δεν έχουν κλείσει σχολεία, και απλά έχουν ληφθεί μέτρα αυτοαπομόνωσης και κοινωνικής απόστασης. «Συνολικά η μελέτη δείχνει ότι τα δύο πιο αποτελεσματικά μέτρα είναι το κλείσιμο των σχολείων και το λοκντάουν». Tα αποτελέσματα της μελέτης που είναι σε εξέλιξη και διεξάγεται από τέλη Φεβρουαρίου σε Αυστρία, Βέλγιο, Δανία, Γαλλία, Ιταλία, Ισπανία, Γερμανία, Ελλάδα, Ολλανδία, Νορβηγία, Πορτογαλία, Σουηδία, Ελβετία και Ην. Βασίλειο, θα ανανεώνονται εβδομαδιαίως, καθώς εξελίσσεται η επιδημία.
ΠΗΓΗ: ΑΠΕ/ΜΠΕ
ΤΑ ΠΙΟ ΔΗΜΟΦΙΛΗ
ΔΙΑΒΑΖΟΝΤΑΙ ΠΑΝΤΑ
ΔΕΙΤΕ ΕΠΙΣΗΣ
Μέγιστη ετοιμότητα για το τριήμερο, με αυστηρούς ελέγχους, απαγορεύσεις φορτηγών και την καμπάνια «ΟΔΥΣΕΑΣ»
Σε εφαρμογή τίθενται αυστηρότερα μέτρα κατά της εισιτηριοδιαφυγής, με περισσότερους ελέγχους και χρήση τεχνητής νοημοσύνης στους σταθμούς
Τι γιορτάζουμε και γιατί είναι κινητή εορτή
Έκτακτα δρομολογια ΚΤΕΛ Κηφισού και Λιοσίων
Πού θα δείτε το Μητρώο Παρόχων
Τι αναφέρουν οι πρώτες πληροφορίες
Ο μαθητής από τη Θεσσαλονίκη περιέγραψε τα θέματα και πώς απάντησε
Τι αναφέρουν οι πρώτες πληροφορίες
Δείτε αναλυτικά τις ενδεικτικές απαντήσεις
Πόσο συχνά εμφανίζεται
Τι αναφέρουν οι πρώτες πληροφορίες
5 τα νέα κρούσματα τις τελευταίες 3 ημέρες
Τι αναφέρουν οι πρώτες πληροφορίες
Ο σχολιασμός των θεμάτων που «έπεσαν» σήμερα στη Νεοελληνική Γλώσσα και Λογοτεχνία
Δείτε αναλυτικά τα θέματα στη Νεοελληνική Γλώσσα και Λογοτεχνία
Πρεμιέρα σήμερα με το μάθημα της Έκθεσης
Η φωτογραφία που είδε το φως της δημοσιότητας
Τα στοιχεία που έδωσε η δημοτική αρχή
Έχετε δει 20 από 200 άρθρα.