- CITY GUIDE
- PODCAST
-
17°
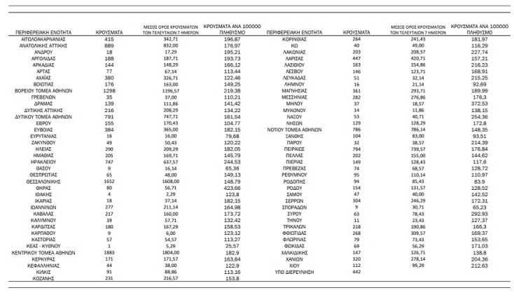
Κορωνοϊός: Η γεωγραφική κατανομή για τις 18.425 κρούσματα σήμερα, Δυετέρα 4 Απριλίου 2022, σύμφωνα με την ανακοίνωση του ΕΟΔΥ.
Η γεωγραφική κατανομή για τις 18.425 νέα κρούσματα σήμερα, Δευτέρα 4 Απριλίου 2022, σύμφωνα με την ανακοίνωση του ΕΟΔΥ για τον κορωνοϊό.
Σύμφωνα με την ημερήσια έκθεση επιδημιολογικής επιτήρησης του ΕΟΔΥ, το τελευταίο 24ωρο επιβεβαιώθηκαν 18.425 κρούσματα κορωνοϊού στην Ελλάδα και 62 νέοι θάνατοι ασθενών από επιπλοκές της Covid-19.
Οι διασωληνωμένοι στις ΜΕΘ είναι 365.
Κορωνοϊός: Γεωγραφική κατανομή για τα κρούσματα σήμερα
- 889 κρούσματα στην ΠΕ Ανατολικής Αττικής
- 1.298 κρούσματα στην ΠΕ Βόρειου Τομέα Αθηνών
- 216 κρούσματα στην ΠΕ Δυτικής Αττικής
- 791 κρούσματα στην ΠΕ Δυτικού Τομέα Αθηνών
- 1.883 κρούσματα στην ΠΕ Κεντρικού Τομέα Αθηνών
- 786 κρούσματα στην ΠΕ Νοτίου Τομέα Αθηνών
- 794 κρούσματα στην Π.Ε. Πειραιώς
- 129 κρούσματα στην Π.Ε. Νήσων
- 1.652 κρούσματα στην Π.Ε. Θεσσαλονίκης
- 415 κρούσματα στην Π.Ε. Αιτωλοακαρνανίας
- 18 κρούσματα στην Π.Ε. Άνδρου
- 188 κρούσματα στην Π.Ε. Αργολίδας
- 144 κρούσματα στην Π.Ε. Αρκαδίας
- 77 κρούσματα στην Π.Ε. Άρτας
- 380 κρούσματα στην Π.Ε. Αχαΐας
- 176 κρούσματα στην Π.Ε. Βοιωτίας
- 35 κρούσματα στην Π.Ε. Γρεβενών
- 139 κρούσματα στην Π.Ε. Δράμας
- 155 κρούσματα στην Π.Ε. Έβρου
- 384 κρούσματα στην Π.Ε. Εύβοιας
- 16 κρούσματα στην Π.Ε. Ευρυτανίας
- 49 κρούσματα στην Π.Ε. Ζακύνθου
- 290 κρούσματα στην Π.Ε. Ηλείας
- 205 κρούσματα στην Π.Ε Ημαθίας
- 747 κρούσματα στην ΠΕ Ηρακλείου
- 9 κρούσματα στην Π.Ε. Θάσου
- 65 κρούσματα στην Π.Ε. Θεσπρωτίας
- 80 κρούσματα στην Π.Ε. Θήρας
- 4 κρούσματα στην Π.Ε. Ιθάκης
- 18 κρούσματα στην Π.Ε. Ικαρίας
- 277 κρούσματα στην Π.Ε. Ιωαννίνων
- 217 κρούσματα στην Π.Ε. Καβάλας
- 39 κρούσματα στην Π.Ε Καλύμνου
- 180 κρούσματα στην Π.Ε. Καρδίτσας
- 9 κρούσματα στην Π.Ε. Καρπάθου
- 57 κρούσματα στην Π.Ε. Καστοριάς
- 1 κρούσμα στην Π.Ε. Κέας- Κύθνου
- 171 κρούσματα στην Π.Ε. Κέρκυρας
- 44 κρούσματα στην Π.Ε. Κεφαλληνίας
- 91 κρούσματα στην Π.Ε. Κιλκίς
- 231 κρούσματα στην Π.Ε Κοζάνης
- 264 κρούσματα στην Π.Ε. Κορινθίας
- 40 κρούσματα στην Π.Ε. Κω
- 203 κρούσματα στην Π.Ε. Λακωνίας
- 447 κρούσματα στην Π.Ε Λάρισας
- 163 κρούσματα στην Π.Ε. Λασιθίου
- 146 κρούσματα στην Π.Ε. Λέσβου
- 51 κρούσματα στην Π.Ε. Λευκάδας
- 16 κρούσματα στην Π.Ε. Λήμνου
- 361 κρούσματα στην Π.Ε. Μαγνησίας
- 282 κρούσματα στην Π.Ε. Μεσσηνίας
- 37 κρούσματα στην Π.Ε Μήλου
- 14 κρούσματα στην Π.Ε. Μυκόνου
- 53 κρούσματα στην Π.Ε. Νάξου
- 104 κρούσματα στην Π.Ε. Ξάνθης
- 32 κρούσματα στην Π.Ε. Πάρου
- 202 κρούσματα στην Π.Ε. Πέλλας
- 149 κρούσματα στην Π.Ε. Πιερίας
- 74 κρούσματα στην Π.Ε. Πρέβεζας
- 95 κρούσματα στην Π.Ε. Ρεθύμνου
- 94 κρούσματα στην Π.Ε. Ροδόπης
- 154 κρούσματα στην ΠΕ Ρόδου
- 47 κρούσματα στην Π.Ε. Σάμου
- 304 κρούσματα στην Π.Ε. Σερρών
- 9 κρούσματα στην Π.Ε. Σποράδων
- 63 κρούσματα στην Π.Ε. Σύρου
- 11 κρουσματα στην Π.Ε. Τήνου
- 218 κρούσματα στην Π.Ε. Τρικάλων
- 268 κρούσματα στην Π.Ε. Φθιώτιδας
- 79 κρούσματα στην Π.Ε. Φλώρινας
- 69 κρούσματα στην Π.Ε. Φωκίδας
- 147 κρούσματα στην Π.Ε. Χαλκιδικής
- 320 κρούσματα στην Π.Ε. Χανίων
- 112 κρούσματα στην Π.Ε Χίου
- 442 κρούσματα υπό διερεύνηση
Στο «κόκκινο» παραμένει η Αττική καθώς από τα 18.425 νέα κρούσματα που ανακοίνωσε σήμερα ο ΕΟΔΥ οι μολύνσεις εντοπίζονται στο Λεκανοπέδιο.
Κορωνοϊός: Τα νέα κρούσματα στην Αττική
- Ανατολική Αττική: 889 κρούσματα
- Βόρειος Τομέας Αθηνών: 1.298 κρούσματα
- Δυτική Αττική: 216 κρούσματα
- Δυτικός Τομέας Αθηνών: 791 κρούσματα
- Κεντρικός Τομέα Αθηνών: 1.883 κρούσματα
- Νήσων: 129 κρούσματα
- Νότιος Τομέας Αθηνών: 786 κρούσματα
- Πειραιώς: 794 κρούσματα
Στη Θεσσαλονίκη καταγράφηκαν 1.652 νέες μολύνσεις και στην Αχαΐα 380.
Ακολουθήστε την Athens Voice στο Google News κι ενημερωθείτε πρώτοι για όλες τις ειδήσεις
ΤΑ ΠΙΟ ΔΗΜΟΦΙΛΗ
ΔΙΑΒΑΖΟΝΤΑΙ ΠΑΝΤΑ
ΔΕΙΤΕ ΕΠΙΣΗΣ
Πρόσφατα είχε διευθύνει και την αναμέτρηση της Καλαμάτας με τον Ηρακλή
Ο 89χρονος περιέγραφε χρόνια ταλαιπωρίας με το ΙΚΑ και προειδοποιούσε για εκδικητική ενέργεια
Δεμένα θα είναι τα πλοία στα λιμάνια
«Δεν υπάρχει λόγος ανησυχίας»
Κατηγορείται για έκθεση ανηλίκου σε κίνδυνο - Το παιδί απομακρύνθηκε με εισαγγελική εντολή
«Χρειάζεται μεγάλη προσοχή στις εκτιμήσεις μας» ανέφερε ο σεισμολόγος
«Από Δευτέρα επιστροφή στην Άνοιξη», δήλωσε ο μετεωρολόγος
Τι πρέπει να κάνουν οι επιβάτες που έχουν εκδώσει εισιτήρια
Ιατρικό ανακοινωθέν Ερυθρού Σταυρού - Χωρίς σοβαρά ευρήματα οι τραυματισμοί των πέντε ασθενών
Ένταση μετά το μακελειό Νοεμβρίου - Καταγγελία για απειλές σε 9χρονο παιδί από τη χήρα θύματος
Μέσα στο όχημα βρισκόταν μια γυναίκα με το παιδί της
Καθηγήτρια φέρεται να πρόβαλλε θρίλερ σε μαθητές, προκαλώντας τους φόβο και αντίδραση των γονέων
Η πιθανή μεταφορά της αργίας δημιουργεί ιδανικές συνθήκες για πέντε συνεχόμενες ημέρες ανάπαυσης
Τι αναφέρουν οι πρώτες πληροφορίες
Οδηγήθηκε νωρίτερα ενώπιον του ανακριτή του Ναυτοδικείου Πειραιά
Ποια δρομολόγια θα υποκατασταθούν από λεωφορεία την Πέμπτη 30/4
Τι αναφέρουν πηγές της ΕΛ.ΑΣ
Έχετε δει 20 από 200 άρθρα.