- CITY GUIDE
- PODCAST
-
17°
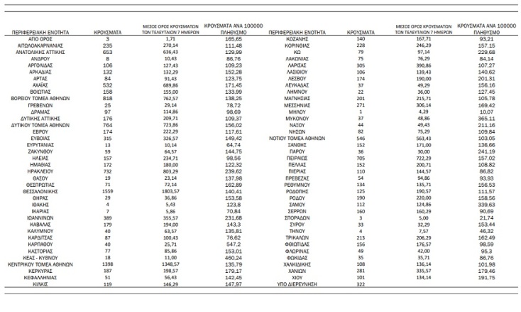
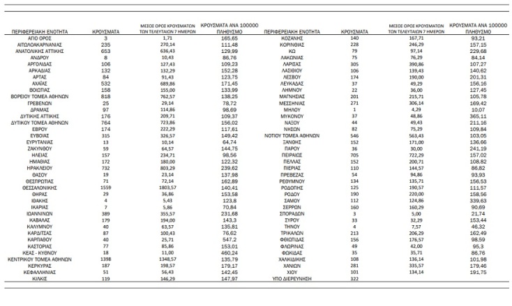
Η κατανομή για τα κρούσματα σήμερα, Σάββατο 19 Φεβρουαρίου 2022, σύμφωνα με την ανακοίνωση του ΕΟΔΥ για τον κορωνοϊό.
Την κατανομή για τα νέα κρούσματα κορωνοϊού σήμερα, Σάββατο 19 Φεβρουαρίου 2022, δημοσιεύει ο ΕΟΔΥ.
Σύμφωνα με την ημερήσια έκθεση επιδημιολογικής επιτήρησης του ΕΟΔΥ, το τελευταίο 24ωρο επιβεβαιώθηκαν 15.305 κρούσματα κορωνοϊού στην Ελλάδα και 77 νέοι θάνατοι ασθενών από επιπλοκές της Covid-19.
Οι διασωληνωμένοι στις ΜΕΘ είναι 463.
Κορωνοϊός: Γεωγραφική κατανομή για τα κρούσματα σήμερα - Ο πίνακας του ΕΟΔΥ
- 653 κρούσματα στην Π.Ε. Ανατολικής Αττικής
- 818 κρούσματα στην Π.Ε. Βόρειου Τομέα Αθηνών
- 176 κρούσματα στην Π.Ε. Δυτικής Αττικής
- 764 κρούσματα στην Π.Ε. Δυτικού Τομέα Αθηνών
- 1.398 κρούσματα στην Π.Ε. Κεντρικού Τομέα Αθηνών
- 546 κρούσματα στην Π.Ε. Νοτίου Τομέα Αθηνών
- 705 κρούσματα στην Π.Ε. Πειραιώς
- 82 κρούσματα στην Π.Ε. Νήσων
- 1.559 κρούσματα στην Π.Ε. Θεσσαλονίκης
- 3 κρούσματα στο Άγιον Όρος
- 235 κρούσματα στην Π.Ε. Αιτωλοακαρνανίας
- 8 κρούσματα στην Π.Ε. Άνδρου
- 106 κρούσματα στην Π.Ε. Αργολίδας
- 132 κρούσματα στην Π.Ε. Αρκαδίας
- 84 κρούσματα στην Π.Ε. Άρτας
- 532 κρούσματα στην Π.Ε. Αχαΐας
- 158 κρούσματα στην Π.Ε. Βοιωτίας
- 25 κρούσματα στην Π.Ε. Γρεβενών
- 97 κρούσματα στην Π.Ε. Δράμας
- 174 κρούσματα στην Π.Ε. Έβρου
- 315 κρούσματα στην Π.Ε. Εύβοιας
- 13 κρούσματα στην Π.Ε. Ευρυτανίας
- 59 κρούσματα στην Π.Ε. Ζακύνθου
- 157 κρούσματα στην Π.Ε. Ηλείας
- 172 κρούσματα στην Π.Ε Ημαθίας
- 732 κρούσματα στην Π.Ε. Ηρακλείου
- 19 κρούσματα στην Π.Ε. Θάσου
- 71 κρούσματα στην Π.Ε. Θεσπρωτίας
- 29 κρούσματα στην Π.Ε. Θήρας
- 4 κρούσματα στην Π.Ε. Ιθάκης
- 7 κρούσματα στην Π.Ε. Ικαρίας
- 389 κρούσματα στην Π.Ε. Ιωαννίνων
- 179 κρούσματα στην Π.Ε. Καβάλας
- 40 κρούσματα στην Π.Ε Καλύμνου
- 87 κρούσματα στην Π.Ε. Καρδίτσας
- 40 κρούσματα στην Π.Ε. Καρπάθου
- 77 κρούσματα στην Π.Ε. Καστοριάς
- 18 κρούσματα στην Π.Ε Κέας-Κύθνου
- 187 κρούσματα στην Π.Ε. Κέρκυρας
- 51 κρούσματα στην Π.Ε. Κεφαλληνίας
- 119 κρούσματα στην Π.Ε. Κιλκίς
- 140 κρούσματα στην Π.Ε Κοζάνης
- 228 κρούσματα στην Π.Ε. Κορινθίας
- 79 κρούσματα στην Π.Ε. Κω
- 75 κρούσματα στην Π.Ε. Λακωνίας
- 305 κρούσματα στην Π.Ε Λάρισας
- 106 κρούσματα στην Π.Ε. Λασιθίου
- 174 κρούσματα στην Π.Ε. Λέσβου
- 37 κρούσματα στην Π.Ε. Λευκάδας
- 22 κρούσματα στην Π.Ε. Λήμνου
- 201 κρούσματα στην Π.Ε. Μαγνησίας
- 271 κρούσματα στην Π.Ε. Μεσσηνίας
- 1 κρούσμα στην Π.Ε Μήλου
- 37 κρούσματα στην Π.Ε. Μυκόνου
- 44 κρούσματα στην Π.Ε. Νάξου
- 152 κρούσματα στην Π.Ε. Ξάνθης
- 36 κρούσματα στην Π.Ε. Πάρου
- 152 κρούσματα στην Π.Ε. Πέλλας
- 110 κρούσματα στην Π.Ε. Πιερίας
- 54 κρούσματα στην Π.Ε. Πρέβεζας
- 134 κρούσματα στην Π.Ε. Ρεθύμνου
- 125 κρούσματα στην Π.Ε. Ροδόπης
- 190 κρούσματα στην Π.Ε. Ρόδου
- 112 κρούσματα στην Π.Ε. Σάμου
- 160 κρούσματα στην Π.Ε. Σερρών
- 3 κρούσματα στην Π.Ε. Σποράδων
- 33 κρούσματα στην Π.Ε. Σύρου
- 4 κρούσματα στην Π.Ε. Τήνου
- 213 κρούσματα στην Π.Ε. Τρικάλων
- 156 κρούσματα στην Π.Ε. Φθιώτιδας
- 49 κρούσματα στην Π.Ε. Φλώρινας
- 35 κρούσματα στην Π.Ε. Φωκίδας
- 108 κρούσματα στην Π.Ε. Χαλκιδικής
- 281 κρούσματα στην Π.Ε. Χανίων
- 101 κρούσματα στην Π.Ε Χίου
- 322 κρούσματα υπό διερεύνηση
Στην Αττική το τελευταίο 24ωρο καταγράφηκαν 5.142 νέες μολύνσεις.
Κορωνοϊός: Τα νέα κρούσματα στην Αττική
- Ανατολική Αττική 653
- Βόρειος Τομέας Αθήνας 818
- Δυτική Αττική 176
- Δυτικός Τομέας Αθήνας 764
- Κεντρικός Τομέας Αθήνας 1.398
- Νήσων 82
- Νότιος Τομέας Αθήνας 546
- Πειραιάς 705
Ακολουθεί η Θεσσαλονίκη με 1.559 νέα κρούσματα.
Ακολουθήστε την Athens Voice στο Google News κι ενημερωθείτε πρώτοι για όλες τις ειδήσεις
ΤΑ ΠΙΟ ΔΗΜΟΦΙΛΗ
ΔΙΑΒΑΖΟΝΤΑΙ ΠΑΝΤΑ
ΔΕΙΤΕ ΕΠΙΣΗΣ
«Αγκάθι» παραμένει η διάνοιξη της Πόντου,
Πρόσφατα είχε διευθύνει και την αναμέτρηση της Καλαμάτας με τον Ηρακλή
Ο 89χρονος περιέγραφε χρόνια ταλαιπωρίας με το ΙΚΑ και προειδοποιούσε για εκδικητική ενέργεια
Δεμένα θα είναι τα πλοία στα λιμάνια
«Δεν υπάρχει λόγος ανησυχίας»
Κατηγορείται για έκθεση ανηλίκου σε κίνδυνο - Το παιδί απομακρύνθηκε με εισαγγελική εντολή
«Χρειάζεται μεγάλη προσοχή στις εκτιμήσεις μας» ανέφερε ο σεισμολόγος
«Από Δευτέρα επιστροφή στην Άνοιξη», δήλωσε ο μετεωρολόγος
Τι πρέπει να κάνουν οι επιβάτες που έχουν εκδώσει εισιτήρια
Ιατρικό ανακοινωθέν Ερυθρού Σταυρού - Χωρίς σοβαρά ευρήματα οι τραυματισμοί των πέντε ασθενών
Ένταση μετά το μακελειό Νοεμβρίου - Καταγγελία για απειλές σε 9χρονο παιδί από τη χήρα θύματος
Μέσα στο όχημα βρισκόταν μια γυναίκα με το παιδί της
Καθηγήτρια φέρεται να πρόβαλλε θρίλερ σε μαθητές, προκαλώντας τους φόβο και αντίδραση των γονέων
Η πιθανή μεταφορά της αργίας δημιουργεί ιδανικές συνθήκες για πέντε συνεχόμενες ημέρες ανάπαυσης
Τι αναφέρουν οι πρώτες πληροφορίες
Οδηγήθηκε νωρίτερα ενώπιον του ανακριτή του Ναυτοδικείου Πειραιά
Ποια δρομολόγια θα υποκατασταθούν από λεωφορεία την Πέμπτη 30/4
Έχετε δει 20 από 200 άρθρα.