- CITY GUIDE
- PODCAST
-
17°
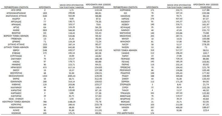
Η κατανομή για τα κρούσματα σήμερα, Κυριακή 6 Φεβρουαρίου 2022, σύμφωνα με την ανακοίνωση του ΕΟΔΥ για τον κορωνοϊό.
Tην κατανομή για τα νέα κρούσματα κορωνοϊού σήμερα, Κυριακή 6 Φεβρουαρίου 2022, δημοσιεύει ο ΕΟΔΥ. Για ένα ακόμη 24ωρο Αττική και Θεσσαλονίκη παραμένουν στο «κόκκινο» με χιλιάδες νέα κρούσματα κορωνοϊού. Από το σύνολο των 10.985 νέων κρουσμάτων, 61 είναι εισαγόμενα εκ των οποίων 57 εντοπίστηκαν κατόπιν ελέγχων στις πύλες εισόδου της χώρας.
Στις Περιφερειακές Ενότητες Αττικής εντοπίστηκαν 2.772 κρούσματα, ενώ στη Θεσσαλονίκη 1.433. Η κατανομή των νέων εγχώριων κρουσμάτων ανά Περιφερειακή Ενότητα:
Γεωγραφική κατανομή για τα κρούσματα σήμερα Κυριακή 6 Φεβρουαρίου 2022 - Οι πίνακες του ΕΟΔΥ
Ειδικότερα, στην Αττική τα κρούσματα κατανέμονται ως εξής:
Ανατολική Αττική 346
Βόρειος Τομέας Αθήνας 351
Δυτική Αττική 153
Δυτικός Τομέας Αθήνας 389
Κεντρικός Τομέας Αθήνας 780
Νήσων 53
Νότιος Τομέας Αθήνας 310
Πειραιάς 390
ΤΑ ΠΙΟ ΔΗΜΟΦΙΛΗ
ΔΙΑΒΑΖΟΝΤΑΙ ΠΑΝΤΑ
ΔΕΙΤΕ ΕΠΙΣΗΣ
Η είδηση έγινε γνωστή από την αδελφή του, η οποία τον αποχαιρέτησε με μια φωτογραφία και λόγια καρδιάς
Ο φετινός Μάιος καταγράφεται ήδη ως ένας από τους πιο ψυχρούς των τελευταίων ετών
Μαίνεται η φωτιά στην περιοχή της Λεύκας - Καίγονται ελαστικά
Βρισκόταν στο δωμάτιό του κατά την έκρηξη, η οποία προκάλεσε εκτεταμένες υλικές ζημιές
Στο σημείο έχουν σπεύσει πυροσβεστικές δυνάμεις
Η ανακοίνωση σχετικά με το χθεσινό ατύχημα
Σε βάρος τους σχηματίστηκε δικογραφία για φθορά ξένης ιδιοκτησίας και παράνομη βία κατά συναυτουργία
Τι αναφέρουν οι πρώτες πληροφορίες
Τι ώρα θα αναχωρήσουν οι τελευταίοι συρμοί
Σε ποια περιοχή η θερμοκρασία έδειξε -3,2 βαθμούς
Τα οφέλη των ηλεκτρικών πατινιών στην καθημερινότητα, η ευθύνη της πολιτείας και η σημασία της πρόληψης
Αναλυτική πρόγνωση από Meteo και EMY
Μετά την «παρέμβαση» Ρουβίκωνα στο σπίτι της, η Βάνα Νικολαΐδου-Κυριανίδου μιλάει στην ATHENS VOICE
Έχετε δει 20 από 200 άρθρα.