- CITY GUIDE
- PODCAST
-
17°
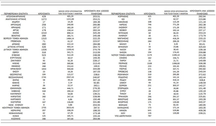
Η κατανομή για τα νέα κρούσματα κορωνοϊού σήμερα, Δευτλερα 10 Ιανουαρίου 2022, σύμφωνα με τον ΕΟΔΥ.
Τη γεωγραφική κατανομή για τα νέα κρούσματα κορωνοϊού σήμερα, Δευτέρα 10 Ιανουαρίου 2022, δημοσιεύει ο ΕΟΔΥ.
Με την ανακοίνωσή του, ο ΕΟΔΥ γνωστοποιεί ότι το τελευταίο 24ωρο επιβεβαιώθηκαν 27.776 κρούσματα κορωνοϊού και 85 θάνατοι ασθενών από επιπλοκές της Covid-19.
Οι διασωληνωμένοι στις ΜΕΘ είναι 654.
Κορωνοϊός: Τα νέα κρούσματα ανά περιοχή
- 1.272 κρούσματα στην Π.Ε. Ανατολικής Αττικής
- 1.315 κρούσματα στην Π.Ε. Βόρειου Τομέα Αθηνών
- 426 κρούσματα στην Π.Ε. Δυτικής Αττικής
- 1.326 κρούσματα στην Π.Ε. Δυτικού Τομέα Αθηνών
- 2.755 κρούσματα στην Π.Ε. Κεντρικού Τομέα Αθηνών
- 1.174 κρούσματα στην Π.Ε. Νοτίου Τομέα Αθηνών
- 1.509 κρούσματα στην Π.Ε. Πειραιώς
- 194 κρούσματα στην Π.Ε. Νήσων
- 2.741 κρούσματα στην Π.Ε. Θεσσαλονίκης
- 429 κρούσματα στην Π.Ε. Αιτωλοακαρνανίας
- 17 κρούσματα στην Π.Ε. Άνδρου
- 258 κρούσματα στην Π.Ε. Αργολίδας
- 171 κρούσματα στην Π.Ε. Αρκαδίας
- 178 κρούσματα στην Π.Ε. Άρτας
- 1.010 κρούσματα στην Π.Ε. Αχαΐας
- 289 κρούσματα στην Π.Ε. Βοιωτίας
- 71 κρούσματα στην Π.Ε. Γρεβενών
- 280 κρούσματα στην Π.Ε. Δράμας
- 316 κρούσματα στην Π.Ε. Έβρου
- 523 κρούσματα στην Π.Ε. Εύβοιας
- 32 κρούσματα στην Π.Ε. Ευρυτανίας
- 93 κρούσματα στην Π.Ε. Ζακύνθου
- 340 κρούσματα στην Π.Ε. Ηλείας
- 268 κρούσματα στην Π.Ε Ημαθίας
- 1.053 κρούσματα στην Π.Ε. Ηρακλείου
- 23 κρούσματα στην Π.Ε. Θάσου
- 104 κρούσματα στην Π.Ε. Θεσπρωτίας
- 58 κρούσματα στην Π.Ε. Θήρας
- 3 κρούσματα στην Π.Ε. Ιθάκης
- 26 κρούσματα στην Π.Ε. Ικαρίας
- 464 κρούσματα στην Π.Ε. Ιωαννίνων
- 318 κρούσματα στην Π.Ε. Καβάλας
- 41 κρούσματα στην Π.Ε Καλύμνου
- 260 κρούσματα στην Π.Ε. Καρδίτσας
- 11 κρούσματα στην Π.Ε. Καρπάθου
- 167 κρούσματα στην Π.Ε. Καστοριάς
- 8 κρούσματα στην Π.Ε. Κέας-Κύθνου
- 207 κρούσματα στην Π.Ε. Κέρκυρας
- 62 κρούσματα στην Π.Ε. Κεφαλληνίας
- 125 κρούσματα στην Π.Ε. Κιλκίς
- 398 κρούσματα στην Π.Ε Κοζάνης
- 425 κρούσματα στην Π.Ε. Κορινθίας
- 77 κρούσματα στην Π.Ε. Κω
- 108 κρούσματα στην Π.Ε. Λακωνίας
- 746 κρούσματα στην Π.Ε Λάρισας
- 151 κρούσματα στην Π.Ε. Λασιθίου
- 205 κρούσματα στην Π.Ε. Λέσβου
- 60 κρούσματα στην Π.Ε. Λευκάδας
- 30 κρούσματα στην Π.Ε. Λήμνου
- 443 κρούσματα στην Π.Ε. Μαγνησίας
- 284 κρούσματα στην Π.Ε. Μεσσηνίας
- 6 κρούσματα στην Π.Ε Μήλου
- 33 κρούσματα στην Π.Ε. Μυκόνου
- 29 κρούσματα στην Π.Ε. Νάξου
- 162 κρούσματα στην Π.Ε. Ξάνθης
- 21 κρούσματα στην Π.Ε. Πάρου
- 233 κρούσματα στην Π.Ε. Πέλλας
- 371 κρούσματα στην Π.Ε. Πιερίας
- 138 κρούσματα στην Π.Ε. Πρέβεζας
- 319 κρούσματα στην Π.Ε. Ρεθύμνου
- 182 κρούσματα στην Π.Ε. Ροδόπης
- 394 κρούσματα στην Π.Ε. Ρόδου
- 49 κρούσματα στην Π.Ε. Σάμου
- 251 κρούσματα στην Π.Ε. Σερρών
- 14 κρούσματα στην Π.Ε. Σποράδων
- 28 κρούσματα στην Π.Ε. Σύρου
- 10 κρούσματα στην Π.Ε. Τήνου
- 296 κρούσματα στην Π.Ε. Τρικάλων
- 306 κρούσματα στην Π.Ε. Φθιώτιδας
- 175 κρούσματα στην Π.Ε. Φλώρινας
- 73 κρούσματα στην Π.Ε. Φωκίδας
- 173 κρούσματα στην Π.Ε. Χαλκιδικής
- 641 κρούσματα στην Π.Ε. Χανίων
- 126 κρούσματα στην Π.Ε Χίου
- 787 κρούσματα υπό διερεύνηση
Στο «κόκκινο» παραμένουν τα κρούσματα κορωνοϊού στην Αττική, καθώς από τα 27.776 νέα κρούσματα που ανακοίνωσε σήμερα ο ΕΟΔΥ, οι 9.971 μολύνσεις εντοπίζονται στο Λεκανοπέδιο.
Τα νέα κρούσματα κορωνοϊού στην Αττική
- Ανατολική Αττική: 1.272 κρούσματα
- Βόρειος Τομέας Αθηνών: 1.315 κρούσματα
- Δυτική Αττική: 426 κρούσματα
- Δυτικός Τομέας Αθηνών: 1.326 κρούσματα
- Κεντρικός Τομέα Αθηνών: 2.755 κρούσματα
- Νήσων: 194 κρούσματα
- Νότιος Τομέας Αθηνών: 1.174 κρούσματα
- Πειραιώς: 1.509 κρούσματα
Στα 2.741 υπολογίζονται τα νέα κρούσματα στην Θεσσαλονίκη.
Στο Ηράκλειο εντοπίστηκαν 1.053 κρούσματα και η Αχαΐα 1.010.
Ακολουθήστε την Athens Voice στο Google News κι ενημερωθείτε πρώτοι για όλες τις ειδήσεις
ΤΑ ΠΙΟ ΔΗΜΟΦΙΛΗ
ΔΙΑΒΑΖΟΝΤΑΙ ΠΑΝΤΑ
ΔΕΙΤΕ ΕΠΙΣΗΣ
Το σημείο έχει αποκλειστεί από πυροτεχνουργούς
Απαλλαγή λόγω αμφιβολιών για τρεις κατηγορούμενους - Ένοχες δύο γυναίκες, αναμένεται η απόφαση για ποινές
Τι αναφέρουν οι πρώτες πληροφορίες
Ξεκάθαρος ο Έλληνας τραγουδιστής
Ολοκληρώθηκε η αστυνομική επιχείρηση
Συνελήφθη ένας 18χρονος, καθώς και δύο γυναίκες για υπόθαλψη
«Μαμά, σήμερα έφερε έναν φίλο μου...»
Τι αναφέρουν οι πρώτες πληροφορίες
Τα αποτελέσματα θα είναι διαθέσιμα στο gov.gr
«Υπήρχε έντονη μικροσεισμική ακολουθία εδώ και μήνες»
Τι αναφέρουν οι πρώτες πληροφορίες
Αναλυτικά τα όσα δήλωσε
Έχετε δει 20 από 200 άρθρα.