- CITY GUIDE
- PODCAST
-
17°
Κορωνοϊός: Η γεωγραφική κατανομή για τα κρούσματα σήμερα, Τετάρτη 6 Ιουλίου 2022, από τον ΕΟΔΥ - Πού εντοπίζονται.
Τη γεωγραφική κατανομή για τα νέα κρούσματα κορωνοϊού σήμερα, Τετάρτη 6 Ιουλίου 2022, ανακοίνωσε ο ΕΟΔΥ.
Σύμφωνα με την ημερήσια έκθεση επιδημιολογικής επιτήρησης του ΕΟΔΥ, το τελευταίο 24ωρο εντοπίζονται 19.303 νέα κρούσματα κορωνοϊού. Παράλληλα, επιβεβαιώθηκαν 22 θάνατοι ασθενών από επιπλοκές της covid.
Οι διασωληνωμένοι στις ΜΕΘ είναι 96.
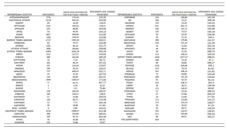
Κορωνοϊός: Κατανομή για τα κρούσματα σήμερα - Ο πίνακας του ΕΟΔΥ
Θεσσαλονίκη 1.909
Αιτωλοακαρνανία 279
Άνδρος 20
Αργολίδα 210
Αρκαδία 141
Άρτα 70
Αχαΐα 667
Βοιωτία 158
Γρεβενά 40
Δράμα 100
Έβρος 211
Εύβοια 380
Ευρυτανία 14
Ζάκυνθος 105
Ηλεία 197
Ημαθία 149
Ηράκλειο 772
Θάσος 23
Θεσπρωτία 110
Θήρα 77
Ιθάκης 2
Ικαρία 7
Ιωάννινα 278
Καβάλα 196
Κάλυμνος 57
Καρδίτσα 130
Κάρπαθος 12
Καστοριά 29
Κέα - Κύθνος 6
Κέρκυρα 408
Κεφαλλονιά 109
Κιλκίς 76
Κοζάνη 115
Κορίνθια 234
Κως 106
Λακωνία 125
Λάρισα 611
Λασίθι 146
Λέσβος 135
Λευκάδα 56
Λήμνος 43
Μαγνήσια 288
Μεσσηνία 226
Μήλος 32
Μύκονος 44
Νάξος 56
Ξάνθη 108
Πάρος 89
Πέλλα 114
Πιερία 167
Πρέβεζα 75
Ρέθυμνο 200
Ροδόπη 91
Ρόδος 313
Σάμος 45
Σέρρες 171
Σποράδες 37
Σύρος 57
Τήνος 24
Τρίκαλα 172
Φθιώτιδα 171
Φλώρινα 50
Φωκίδα 55
Χαλκιδική 145
Χανιά 511
Χίος 86
Υπό διερεύνηση 643
Στο «κόκκινο» παραμένει η Αττική καθώς από τα 19.303 νέα κρούσματα που ανακοίνωσε σήμερα ο ΕΟΔΥ οι 10.878 μολύνσεις εντοπίζονται στο Λεκανοπέδιο.
Κορωνοϊός: Αναλυτικά τα κρούσματα στην Αττική
- Ανατολική Αττική 1.219
- Βόρειος Τομέας Αθηνών 1.737
- Δυτική Αττική 368
- Δυτικός Τομέας Αθηνών 1.481
- Κεντρικός Τομέας Αθηνών 3.216
- Νότιος Τομέας Αθηνών 1.420
- Πειραιάς 1.325
- Νήσοι 112
Στη Θεσσαλονίκη καταγράφηκαν 1.909
ΤΑ ΠΙΟ ΔΗΜΟΦΙΛΗ
ΔΙΑΒΑΖΟΝΤΑΙ ΠΑΝΤΑ
ΔΕΙΤΕ ΕΠΙΣΗΣ
Πώς ένας ιός άλλαξε τον κόσμο — και γιατί χάθηκαν εκατομμύρια ζωές που μπορούσαν να σωθούν
Τα πρώτα περιστατικά της νόσου καταγράφηκαν στα τέλη του 2019 στην κινεζική πόλη Γουχάν
Τον σερβίρουν σε εστιατόρια, μαζί με άγρια χελώνα και άλλα απαγορευμένα είδη
Στο στόχαστρο του Ρόμπερτ Κένεντι Τζούνιορ η εμβολιαστική πολιτική των ΗΠΑ
Τι αναφέρει ρεπορτάζ των New York Times
Σύμφωνα με στοιχεία του Παγκόσμιου Οργανισμού Υγείας, από το 2003 έως σήμερα έχουν καταγραφεί σχεδόν 1.000 κρούσματα
Η δημόσια έρευνα υπό την δικαστίνα Χάλετ καταλήγει ότι το Ηνωμένο Βασίλειο «έκανε πολύ λίγα, πολύ αργά»
Συστάσεις προς τους πολίτες από τον Εθνικό Οργανισμό Δημόσιας Υγείας
Η μυοκαρδίτιδα και οι θρόμβοι αίματος μεταξύ των παθήσεων
Εμφάνισε σοβαρά συμπτώματα λίγες ημέρες μετά τη γέννησή του
Ποιο είναι το κυριότερο σύμπτωμα
Ο καθηγητής Τζανάκης για την έξαρση που αναμένεται τον Ιούλιο
Τα συμπτώματα είναι παρόμοια με εκείνα που σχετίζονται με άλλες παραλλαγές του ιού
Καθησυχαστικές οι αρχές
Συγγενείς προχώρησαν σε νομικές ενέργειες προκειμένου να αποκαλυφθεί αν υπάρχουν ποινικές ευθύνες
Θεωρεί πως είναι «επικίνδυνες» και ευθύνονται για την πανδημία του κορονοϊού
Η FDA έχει προειδοποιήσει κατά της χρήσης του φαρμάκου
Απάντηση στους ισχυρισμούς Τραμπ για διαρροή του ιού από κινέζικο εργαστήριο
Επιβεβαιώνεται η υποψία για διαρροή από κινεζικό ιολογικό εργαστήριο
Η υπόθεση αυτή, σύμφωνα με την Κίνα, είναι «εντελώς απίθανη»
Έχετε δει 20 από 200 άρθρα.